从一维谐振子看波粒二象性的由来及其物理本质(全文)
标签:
自旋场物理学 |
分类: 原创•评论 |
从一维谐振子看波粒二象性的由来及其物理本质(全文)(上)
【引言】:自3月18日始,我在本头条号上刊出了关于一维谐振子与光波粒二象方面的系列文章,这些文章都是节选自我的长篇论文《从一维谐振子看波粒二象性的由来及其物理本质》中的相关章节,有些读者知道这事后,希望我能够在本号上将该文全貌刊出;为了满足他们的要求,也为了促进大家关于这方面问题更好地讨论与交流,我重新编排了该文的板式,现借「今日头条」这块宝地全文发出,希望致力于这方面研究与探索的朋友们多多交流与指教,在此也感谢大家的厚爱与支持!
康德曾说:”世界上有两样东西能够震撼人们的心灵:一件是我们心中崇高的道德标准,另一件是我们头顶上灿烂的星空“——借此,与在「今日头条」上坚持不懈地仰望星空的朋友们共勉!
从一维谐振子看波粒二象性的由来及其物理本质
司 今
(安徽蚌埠学院 蚌埠 233000)
摘 要 :一维谐振子是物理学中及其的重要模型,它不仅体现在经典力学、经典电磁学中,在量子力学中也能体现出来,可以这么说,自普朗克用一维谐振子模型研究黑体辐射成功以后,爱因斯坦的光量子、德布罗意的物质波、玻尔的经典原子理论、薛定谔的波函数方程都与谐振子模型有关,更深刻地讲,量子力学的波粒二象性正是用一维谐振子模型去研究粒子运动的产物,没有谐振子模型,也就没有所谓的波粒二象性结论。
本文正是通过对一维谐振子的理解和分析,探讨波粒二象性的起源与本质,为现代物理学正本清源开辟了一条新思路。
关键词:一维谐振子 电磁波 能量子 光子 德布罗意波 薛定谔波函数 波粒二象性
中图分类号:
0、 引言
现代物理学真正起源于伽利略的运动学与开普勒的天体运动论,牛顿为了给开普勒第三定律找到本源,在继承伽利略、开普勒理论的精华后提出了万有引力定律,麦克斯韦在继承经典的电与磁经验理论后,提出了电磁场统一及电磁波理论,爱因斯坦为了给万有引力找到根源,在继承伽利略、牛顿思想精华后提出了时空弯曲产生力的观点……现代量子力学也是在继承前辈和自身精华后,提出认知新观点的集成;不过特别要注意,现代量子力学拓展的精华不是什么波粒二象性、量子纠缠、几率波等匪夷所思的概念,而是能量、角动量的转化与守恒,自旋、磁矩与电磁之间的场效应。
让人困惑的物理描述不应是对物理本质的描述,如波粒二象性问题,二种在自然界根本就不可兼容的东西非要柔和到一起,那就肯定会让人匪夷所思;对此困惑的释解,解铃还须系铃人,这就须从波粒二象性得出的历史资料上去查找让人产生困惑的根源。
任何波的产生都来自于波源的振动,波动只是传播波源振动的一种形态,因此,研究波问题就绕不开波源振动,大自然中最简单的波源振动是简谐振动。
回顾波史,从简谐振动到简谐波动,从LC振荡到偶极振子,从电子谐振子到电子轨道跃迁,这每一步变迁无不体现了一维谐振子及其演变的身影,本文正是想从一维谐振子入手,去揭开现代物理学“波粒二象性”迷雾之旅。
1、一维谐振动与旋转矢量圆
1.1、一维谐振动
简谐振动是大自然中众多振动中最简洁的形式,也是研究波运动的基础,这种振动最简单的例子就是弹簧振子的振动,如图-1所示:
一个长度为L的弹簧振子,当我们用力将它拉成L+A长度时,然后释放振子,它就会做往复不停地作简谐振动;在弹簧振子振动一个周期过程中,其最大振幅为A,它分布在1和2处,振子最大的平动速度为v(max),它处在弹簧振子的平衡位置O处,弹簧振子的弹性系数是k=mω²,它是弹簧振子在振动中的固有属性,这个谐振运动的方程是a=﹣ω²x,其微分形式是
这个方程的解是
.由弹簧振子角频率ω=(k/m)½可得弹簧振子的振动频率γ=ω/2π,振动周期T=2πω,由此可见,弹簧振子的振动频率与周期都是由k、m来决定,是振子系统固有的物理属性。
谐振子周期振动中的最大动能为
最大势能为
.谐振子振动过程遵循动势能转化与守恒,即
也就是说,谐振系统所具有的总能量既可以用Ek=mv²(max)/2来描述,也可以用Ep=kA²/2来描述,二者是对一个问题的二种描述方式,而且这个系统在弹性范围内,振幅A是可以连续变化的,也就是说谐振系统中的最大势能或最大动能在弹性限度内的变化值是连续的,这与后来电磁学中偶极振子振动产生的电磁波辐射相通,但与普朗克引用的一维电谐振子振动辐射光能量子的过程则不同。
1.2、一维谐振动的旋转矢量描述
为了便于简谐振动研究,我们也可以采用旋转矢量圆来描述,即一维矢量在复平面上旋转;如图-2所示,自Ox轴的原点O作一矢量A,使它的模等于谐振动的振幅A,并使矢量A在图面内绕O点逆时针方向旋转,其角速度的大小与谐振动的角频率ω相等,这个A矢量就叫做旋转矢量。
在t=0时刻,矢量A的矢端在M0位置,它与ox轴的夹角为φ;在任意时刻t,矢量A的矢端在M位置。在这过程中,矢量A沿逆时针方向转了角度ωt,它与ox轴间的夹角为ωt+φ.由此可见,这时矢量A的矢端在ox轴上的投影为x=Acos(ωt+φ),当然,矢量A在oy轴上的投影是y= Asin(ωt+φ),与谐振运动方程微分形式的解x=Acos(ωt+φ)比较,矢量A的矢端M恰是沿x轴作作谐振动物体在t时刻相对原点o的位移。因此,旋转矢量A的矢端M在ox轴上的投影点P的运动,可表示物体在ox轴上的谐振动。旋转矢量A以确定的角速度ω旋转一周,相当于谐振动物体在x轴上作一次完全振动。因此,旋转矢量A旋转一周所需要的时间与谐振动的周期相等。在t=0时刻,A与ox轴的夹角φ对应于谐振动的初相,在t时刻,A与ox轴的夹角ωt+φ则跟谐振动的相位相对应。
旋转矢量圆是研究谐振动的一种比较直观的方法,可以避免一些繁琐的计算,在分析谐振动及其合成时常常用到,但必须指出,旋转矢量本身并不做谐振动,而是旋转矢量端点的投影点在做谐振动;因此,一维矢量旋转也常被放在复平面上用复数来描述,如图-3所示,y=Acos(ωt+φ)+iAsin(ωt+φ),其实部为实数简谐振动,也是真实的简谐振动,虚部为辅助量,不是真实的简谐振动,但它与真实的简谐振动相位差为π/2,写成欧拉三角函数形式就是
引入矢量圆以后,我们对谐振动能量的描述可以放到圆运动上,即可用Ek=hγ=mv²来描述谐振子能量,其中v是谐振子振幅矢量A端点的圆周运动速度,这个速度就是谐振子振动的最大速度v(max),γ是A端点转动的角频率,如此可以得出
认识到这一点很重要,因为它直接缔造了量子力学中“波粒二象性”的出现!
谐振动也可用余弦曲线来描述,图-4就是弹簧振子、旋转矢量、余弦曲线描述的对应关系。
2、简谐波方程
如图-5所示,设波源的振动在x=0处,其振动的表达式为
在波上任意点P,它到O点距离为x,则P点处质点的振动比O点振动落后t0=x/v时间,即t0时P点的振动状态与O点在t=0时的状态相同,因为P为任意点,所以任意时刻t下,O点在波上运动的表达式就是的表达式就是
这就是描述O点的谐振波方程,写成波长形式就是
值得注意的是:简谐波上组成点可以看做是谐振动中的振子,振子本身在波传播方向上没有平动,只在波形上下振动(横波)或左右振动(纵波),如图-6所示。
图-5 图-6
因此说,这种振动产生的波只能通过媒介物来传播振子上下振动的能量,或者说与波方向垂直振动的能量;因此,对波传递能量大小就可以用波源谐振系统的能量来描述,即
也可以这样认为,任何一级波波动一个周期所具有的波能都与波源振动一个周期的振动能量相等,波周期传递的能量就是波源振子振动一个周期的能量,即波源谐振子只是一个能量转换器,它将外界输入的能量转换成以周期能量脉冲,然后以波的形式传递出去,这对偶极振子、电子谐振子等辐射电磁波都一样适用。
我们知道,谐振动可以用旋转矢量圆描述,那么简谐波运动也可以用旋转矢量圆来描述,这种描述有二种方式:
(1)、矢量圆的平面波描述,就是把谐振波源看做是一个矢量圆,旋转矢量A矢端在xoy平面以v速度旋转的同时,又以v速度沿x轴向运动,这就会产生一个余弦波运动,如图-7表示的就是谐振平面余弦波,这种波传递的能量就是波源谐振子所具有的能量。
(2)、矢量圆的立体波描述,就是把谐振波源看做是一个矢量圆,旋转矢量A矢端在yox平面旋转的同时,又以v速度沿z轴向运动,这就会产生一个柱螺旋运动形式,如图-8表示的就是谐振立体柱螺旋的余弦波形式。
可见,谐振子振幅矢量产生的平面波可以描绘成余弦波,而余弦波曲线又可以看做是柱螺旋曲线的一个正投影,柱螺旋所代表的运动可以描述成一个谐振振幅矢量圆平面沿垂直波方向做匀速运动的合成,这正是一维谐振子转换成用矢量圆描述的重要性之根本所在。
当引入矢量旋转圆以后,对谐振波波动一周期的能量描述可以有三种方法,即
这三种描述是等价的,其中A为波源振子m的最大振幅,k=m/ω²是波源谐振系数,r是以A=r的矢量圆半径,γ是振幅A矢端在矢量圆上运动的频率,v(max)是谐振子振动的最大速度,h是2π倍矢量圆的角动量,即
(注意,h的这种定义形式将会在德布罗意驻波中用到!)。
我们这里之所以要将谐振波能量用E=hγ形式写出来,是因为后来的量子力学在描述电子一维谐振动、粒子波中都会出现,虽然它们描述的对象不同于机械波,但与波能定量描述的思维是一致的,而且通过这种认知,可以更能看清粒子波能量的来源及其传递能量的本质;同时,用旋转矢量也可以表示经典电磁学中偶极谐振子振动所发射的电磁波运动及量子力学中普朗克谐振子振动所辐射的能量子运动,进而推出爱因斯坦光量子所具有的能量及波粒二象性的本质。
因此说,简谐波与矢量圆模型在物理学波动理论中占有举足轻重的位置。
3、偶极振子与电磁波发射
3.1、偶极振子与电磁波发射
经典电磁学中,电磁波发射是我们都熟知的内容,不知道大家注意了没有:电磁波发射的物理原理是LC电磁振荡,为了能够发射电磁波,LC振动电路中的电容器由闭合变成开放,为了能够更有效地发射电磁波,开式LC振荡电路中的金属线圈被一根细金属导线所取代,这样,LC振动电路就演化成了偶极子振荡,即将电容器的二极板所带的电荷看做是二个带正负电荷的小球,将电子在线圈或直导线中的流动看做是静止的,取而代之的是将带有正负电荷的小球在做相对振动,这就称为偶极子振动模型,如图-9所示,这个模型极大地丰富了电磁波产生的物理内涵,也为后来普朗克用一维电子谐振子振动能够发射能量子来解决黑体辐射问题提供了坚实的物理基础。
不过,这里要讨论一下:在开式LC振荡电路中,用金属线圈连接电容器二极板与用金属导线连接电容器二极板所发射电磁波波形是有差异的,下面以平面电磁波为例,讨论它们的差异所在。
如图-10,耦合天线中感应线圈所产生的电磁振荡就如同图-11所发射电磁波区域,这时,交变的电场与磁场应处于同一平面,即HE,而且振荡中磁场与电场强度变化的相位差为π/2或3π/2,由此我们得出如图-12所示的这种装置所发射电磁波的运动形式;但要注意,在这个发射装置中之所以会出现HE,是因为线圈电流磁场是由n根导线电流磁场耦合而表现出来的整体磁场,这个磁场是与线圈截面垂直的。
图-10 图-11
但由于我们传承了LC振荡与电磁波H⊥E的思想,常认为这种装置发射的电磁波可以用如图-13来描述,其实这是不对的,这里虽强调了电磁场强调变化相位差为π/2或3π/2,但却将电场与磁场看做是H⊥E的了。
图-12 图-13
为了更有效发射电磁波,现代将开式LC振动电路中电容器里的线圈改成细金属导线,以发射波长更短的电磁波,如图-14所示;这里,金属导线电流会产生环形闭合磁场,而这个磁场方向与电容器电场方向并不在一个平面,而是相互垂直,即H⊥E,而且导线电流越大,环形磁场越强,即电场与磁场强度变化的相位差为0或π,这就是我们教科书经常给出的电磁波图形,如图-15所示。
图-14 图-15
由此可见,电磁波发射天线由“线圈+电容器”变成“直导线+电容器”,它们发射时产生磁场的物理机制是不一样的,前者遵循法拉第电磁感应原理,发射器中磁力线与电力线平行;后者则遵循安培导线电流磁场原理,电力线与磁力线垂直,前者线圈感应磁场是后者导线电流磁场的叠加态。
如果将“直导线+电容器”物理模型再改造,那就是偶极振子模型,如图-16所示,正负电荷相互振动可以发射电磁波,并由此认为单个电子运动也辐射电磁波;由于电磁波是一种能量,因此,经典电磁学在解释卢瑟福原子行星模型时就提出了一个谬样推理:电子绕原子核作匀速圆周运动,因电子运动方向不断改变,因此电子圆周运动可以看做是一种匀加速运动,这种运动应该会使电子不断地向外空间辐射电磁波能量,所以电子运动能量就会逐渐减少,即运动速度变小,最终电子会落入原子核上,由此推理原子核与电子构成的原子就不可能稳定存在了,而事实是原子一直稳定存在,如图-17所示;为了解决这个问题,后来玻尔提出了氢原子量子化模型。
图-16 图-17
单就电子运动能不能辐射电磁波而论,这个谬样提出时,其物理基础是不扎实的,因为电子只有在偶极子系统振动才会出现电磁波辐射,也就是说电子在运动中表现出某种周期加速与减速运动时才会形成交变的电磁场变化,而对于一个匀速圆周运动的电子,就不存在这种情况,因为圆周速度只有方向变化,却没有速率值变化,这就构不成像偶极子振动那样有速率变化的情况,也就是说,站在经典电磁理论角度看,作圆周运动的电子也不可能有电磁波辐射情况出现。
可能有人会说,直导线电流可以产生磁场,图-18所示,那不就是在发射电磁波吗?这是一种认识误区,因为电磁波描述的是交变电磁场运动,但这里所具有的电场(电子电场)与磁场(电流磁场)即没有交变性,也没有能量辐射性(假设金属导线无电阻),这怎么能被视作发射电磁波了呢?
图-18 图-19 图-20
至于电流导线为什么能够产生磁场问题,当时的经典电磁理论确实无法从物理机制上给予合理解释,但随着科学发展,这种现象就可以用量子力学中电子自旋磁矩问题给予很好地解释了,即电子自旋磁矩是电子的内禀性,如图-19所示,它在运动中这种内禀性磁场也会随之对外界展现出来,也就是说单个电子匀速率运动是一种带有自身电场与磁场的运动,金属导线电流能够对外表现出磁场性正是电子自旋磁矩耦合的宏观磁场效应,如图-20所示,这种电场与磁场都是电子自身固有的物理属性,它们不不会对外产生辐射,否则电子也就不可能稳定存在了。
由此可见,从量子角度去反哺经典电磁学很有必要,这将会使圣经般的经典电磁学更丰满,更完善。
3.2、一维偶极振子振荡发射的电磁波方程
偶极子振荡之所以能够发射电磁波,是由于它是开式LC振动的简化版,这种振动所发射的电磁波是以v速沿着球体矢径r方向传播的,由于电场E与磁场H相互垂直,且E和H的振动方向都与电磁波传播方向垂直,且E和H的振动相位相同,即它们在空间传播中,E和H是同步增大或减小的,因此,电磁波的运动方程常以E和H二个平面波方程的形式给出,即
由此可描绘出电磁波传播图形如图-15所示。
不过,这里要注意:LC振动只能发射无线电波,红外线、可见光、紫外线都是由炽热物体、气体放电或其他光源激发分子或原子等微观客体所产生的电磁辐射,x射线是用高速电子流轰击原子中的内层电子而产生的电磁辐射,γ射线是由放射性原子衰变时发出的电磁辐射或用高能粒子与原子核碰撞所产生的电磁辐射;我们之所以要强调这一点,是因为这些超短波辐射都可以用偶极振子模型给予描述的,并且这种描述是量子力学建立之根。
4、一维电子谐振子与普朗克能量子
1900年,普朗克为了解决黑体辐射中的“紫外线灾难”问题,如图-21、22所示,提出了一个与经典物理学概念不同的新假设:金属空腔中的电子振动可视为一维谐振子,它吸收或发射电磁辐射能量时,不像过去经典物理学所认为的那样,可以连续地发射或吸收能量,而是以与振子的频率成正比的能量子ε=hγ为基本单元来吸收或发射能量,这就是说,空腔壁上的带电谐振子吸收或发射的能量只能是hγ的正整数倍,即ε=nhγ,他并假设,比例常数h对所有振子都是相同的,h叫做普朗克常数。
图-21 图-22
应当指出,在经典物理学中,谐振子的能量正比于振幅的平方,即E=kA²/2,而且对于给定频率的谐振子,其振幅是任意的,这就是说,对给定频率γ的谐振子可以具有任意连续地能量值;而按照普朗克的假设,频率为γ的谐振子,其能量只能取1hγ,2hγ,3hγ,4hγ等不连续的值,即谐振子发射或吸收能量是不连续量子化的,可见,普朗克的这种假设与经典物理概念格格不入,也为未来物理学发展带来新的概念。
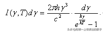
普朗克依据他的能量子假设,用经典统计方法求得单位时间内,从温度为T的黑体单位面积上,在频率γ→γ+dγ范围内所辐射的能量为:
其中k为玻尔兹曼常数,h为普朗克常数。
从上述介绍中可以看出,普朗克假说中所说的电子谐振子辐射的能量子其实就是一个可独立运动的且具有一个完整振动周期的电磁波片段,如图-23所示,这个假说的本质是延续了经典电磁学中偶极振子振动辐射电磁波的物理模型思想;不过,偶极振子振动辐射的电磁波是连续的,而普朗克的电子谐振子振动辐射的电磁波是不连续的,即以振动周期为单位的电磁波片段形式向空间传播。
图-23 图-24
还有后来称为量子波包的东西,如图-24,它是由不同频率或振幅的普朗克能量子片段波相互叠加后的一种波动描述形式,这种叠加运动整体可以看作是一个能够独立运动的小波包体,这是普朗克能量子思想的延伸。
普朗克假说中对于一个给定振动频率为γ的电子谐振子,其振动一个周期所吸收或辐射的能量是以ε=hγ为基本单元来进行的,这就是说,这个给定频率的带电谐振子吸收或发射的能量只能是hγ的正整数倍,即ε=nhγ来进行;对于另一个给定频率为γ'的电子谐振子,其振动一个周期所吸收或辐射的能量也是以ε'=hγ'为基本单元的整数倍即ε'=nhγ'的形式来进行,只不过二者频率不同罢了,二式中h为比例常数,即普朗克常数。
当然,公式中的整数n并不是说电子谐振子振动一个周期可以吸收或辐射n个能量为hγ的能量子,而是吸收或辐射一个能量为hγ的n倍的能量子,即ε=n×hγ.
以上对黑体能量辐射的描述与经典物理学格格不入,其中最让人困惑的几个问题是:
(1)、为什么黑体辐射电磁波能量是不连续的?
(2)、为什么电子谐振子辐射的能量可以用ε=hγ来描述?
(3)、为什么对于给定频率的电子谐振子辐射的能量可以用ε=nhγ形式来描述?
(4)、对于谐振系数不同的电子谐振系统,其振动辐射的能量子大小该如何定量?
(5)、为什么对于给定频率的电子谐振子辐射的能量也是不连续的?
(6)、普朗克将h假设为常数有什么物理意义?
……,……,……
对此困惑,我们想从经典物理学角度尝试性地给予解读:
(1)、为什么黑体辐射的电磁波是不连续的?
普朗克黑体辐射理论是建立在一维电子谐振子概念之上的,他首先假设一个电子1在没有形成谐振子之前是处于自由运动或静止状态,它与另一个电子2构成谐振系统有3种可能:
、自由运动电子1与另一个处于静止状态电子2相遇,可构成一个电子谐振系统。
、自由运动电子1与另一个处于热运动状态电子2相遇,可构成一个电子谐振系统。
、静止状态电子1与另一个处于热运动状态电子2相遇,可构成一个电子谐振系统。
电子谐振子振动的能量来自于外界热能致使电子产生热运动而获得,即热运动电子之间相互碰撞来提供能量,电子谐振子在完成一个周期振动并辐射一个能量子后,它的振动就会停止,又恢复到没有热运动前的状态,即不再有能力辐射光子了,只有等下一个热运动电子来撞击它才能产生下一次振动并辐射下一个能量子;因此说,电子谐振子释放的电磁波能片段是间断的,不像电磁学中偶极振子振动,由于外界提供能量是连续的,其辐射的电磁波才会是连续的;而对于一个给定的电子,它什么时候能够形成谐振子系统,什么时候辐射能量子等,这在时间和空间上都是随机的,故它辐射电磁波能量子是间歇的,不连续的。
(2)、为什么电子谐振子辐射的能量可以用ε=hγ描述?
假设热运动电子与另一个热运动电子或原子核构成一个电谐振动系统,那么,我们就可以像上述机械波或电偶极振子那样,对电子谐振子振动最大能量的定量描述即可以采用简谐振动中最大振动势能Ep=kA²来定量,也可以用振动中的最大振速动能Ek=mv²来定量,还可以将振幅A看做是一个旋转矢量,在谐振矢量圆中用E=hγ形式来定量,其中h=2πmvA或h=2πmvr是矢量圆的角动量,这种描述最符合波理论,因普朗克能量只是电子谐振子振动一个周期所发出的电磁波能量片段,因没有质量性,故只能将该电子谐振子振动一个周期的能量用E=hγ,而且h=2πmvr也因质量不存在而无法定义,只能将其视为常数,即普朗克常数。
可见,普朗克对辐射能量子ε=hγ这种描述思想本质是将h=2πmvr常量化的结果,但并不是说经典谐振动中h=2πmvr的形式在电子谐振用旋转矢量圆描述时就不存在了;从爱因斯坦光子波动论及玻尔原子轨道理论的描述上来看,h=2πmvr不但存在,而且还有实际的物理意义。
认清了普朗克对电子谐振子辐射能量子能量为什么可定量描述为ε=hγ的思路,我们就可以对电子谐振子振动辐射电磁波能量的本质进行追根溯源了。
(3)、为什么对于给定频率的电子谐振子辐射的能量可以用ε=nhγ形式来描述?
普朗克在它的电子谐振子理论中认为,电子谐振所辐射的能量ε=hγ中将h定义为常数,由于对于一个给定的谐振子系统,其振动系数k、振动周期T和振动频率γ都不会随谐振子振动振幅变化而变化,因此用ε=hγ就没有办法区分不同振幅下谐振系统所具有的振动能量大小;为此,普朗克的办法是将不同振幅下电子谐振子所具有的能量定义成ε=nhγ形式来描述,也就是说,对于一个给定的谐振系统,由于其振动振幅A与矢量圆角动量h=2πmvA或h=2πmvr存在正比关系。
图-25 ε=nh×γ
如图-25所示,假设谐振子振幅A1下对应的谐振能量为E1=h1γ,那么振幅A2下对应的谐振能量就为E2=h2×γ=2E1=2h1×γ,.振幅A3下的振动能量为E3=h3×γ=3E1=3h1×γ……以此类推,振幅为An下的振动能量就是En=hn×γ=nE1=nh1×γ.
可见,nh1表示振幅An为A1的n数倍时,就有hn=n×h1,h1是给定频率的谐振子在不同振幅下所具有的最小矢量圆角动量,将它假设为比例常数项,电子谐振子其他振幅下所辐射的普朗克能量子能量就是ε=nh1×γ,这就是为什么对给定频率的电子谐振子辐射的能量普朗克可以用ε=nhγ形式来描述的根源。
同时,我们也可以看出,对于给定频率为γ的电子谐振子,其辐射一个能量子的能量大小不能仅用振动频率γ来衡量,还要看它们被发射时谐振子振幅A的大小才能确定其所具有的能量大小来。
(4)、对于谐振系数不同的电子谐振系统,其振动辐射的能量子大小该如何定量?
当然,黑体中应由很多不同频率的电子谐振系统构成,即谐振子谐振系数k值不同,它们的振动频率γ也就不同,它们在受热振动时就会辐射不同频率的能量子个体,但它们辐射能量子的能量描述也是以ε=nhγ形式进行的,但公式中n、h、γ三个量的组合有变化,即在这种情况下就可以理解为ε=h×nγ,这里h、γ是常数,nγ是指不同电子谐振子频率γ之间相比较的n倍关系。
图-26.ε=h×nγ
如图-26所示,假设电子谐振子谐振系数分别为k1(γ1)、k2(γ2),并设在振动振幅均为A1时有γ2=2γ1,它们在振幅A1状态下振动辐射能量子的能量就是ε1=hγ1,ε2=hγ2=h×2γ1;如果二个谐振子谐振频率为γn=nγ1,在同振幅下振动辐射的能量子能量就有εn=hγn=h×nγ1定量形式存在。
通过(3)、(4)分析可以看出,爱因斯坦在解释光电效应时所认为的“截止频率γ0”问题是有待榷商的,因为现代物理学实验已证明,用低频激光光束照射具有高频截止频率的晶体时也可以产生光电效应,例如用红光激光照射砷化镉晶体薄片时可以产生光电效应,而用普通红光去照射就无法产生光电效应。
其实,爱因斯坦在解释光电效应时给出的“截止频率γ0”,只考虑了相同振幅A下,二个不同振动频率的电子谐振子,其γ大的辐射光子能量就大的情况,但他没有考虑在相同频率γ下,二个不同振振幅的电子谐振子振动辐射光子的能量也会不同,其中振幅大的辐射光子能量就大的情况,也就是说,电子谐振子振动辐射光子的能量不仅与它们的振动频率大小有关,还与它们的振动振幅大小有关,即有
上述实验表明:
在给定频率γ下,不同振幅的电子谐振子辐射光子时,其能量可以用εn=nh×γ来定量描述,这就是说,对振幅为A>A'的二个电子谐振子,如果振幅为A的电子谐振子辐射光子的能量是ε=nh×γ,振幅为A'的电子谐振子辐射光子的能量是ε'=mh×γ,这里n>m,则有ε>ε'.
在给定振幅A下,不同频率的电子谐振子辐射光子时,其能量可以用εn=h×nγ来定量描述,这就是说,对振动频率为γ>γ'的二个电子谐振子,如果γ=nγ1、γ'=mγ1,这里n>m,则有ε=hγ=h×nγ1>ε'=hγ'=h×mγ1.
但对二个电子谐振子频率为γ>γ'的系统而言,当γ'谐振系统振幅A'大于或等于γ谐振系统振幅A的n/m整数倍时,会有ε'=hγ'≥ε=hγ情况出现,这就是说,对不同振动频率的二个电子谐振子振动系统,当一个振动频率小但振幅足够大时,其辐射光子的能量也可以大于或等于另一个振动频率大但振幅足够小的电子谐振系统辐射光子的能量。
由此可见,红激光在被红宝石中的电子谐振子发射时,其频率虽然比用普通光照射砷化镉晶体薄片产生光电效应的截止频率γ0要低,但由于在红宝石中辐射红激光的电子谐振子振幅比辐射普通红光的电子谐振子振幅要大,故红激光所具有的能量可以大于或等于频率为γ0的普通光能量,因此用红激光照射砷化镉晶体薄片可以产生光电效应,而用普通红光照射则不可产生光电效应的根源所在。
同时,我们还可以看出,普朗克假设的电子谐振子辐射的能量子能量不仅在给定频率下是n倍量子化辐射的,对不同频率的电子谐振子辐射的能量子能量也是n倍量子化的。
(5)、为什么对于给定频率的电子谐振子辐射的能量也是不连续的?
我们知道,电子谐振子的形成是由于自由运动或热运动电子相遇而随机形成的,而电子热运动的运动速度不同,就会形成不同振幅的电子谐振子,它们振动时所辐射出的能量子能量就会不同,但对于给定频率的一维谐振子而言,其振幅可以任意取值,为什么普朗克引用的电子谐振子振幅就不可以连续取值呢?
对此,普朗克当时也是困惑的,直到后来玻尔轨道能级理论出现,这个谜底才被揭开。
首先可以肯定的是,普朗克的一维谐振子模型是有极大缺陷的,因为他描述的电子谐振子只是对一维振动的描述,而黑体上电子真实热运动并不是一维而是二或三维的,即是以原子形态来振动的,这就如玻尔原子轨道理论所描述的那样,电子轨道半径r可以看做是普朗克一维电子谐振子的振幅,不同r下电子辐射出光子的能量是不同的;又因电子轨道半径变化遵循rn=n²×r1规律,这就是普朗克所认为的对于不同频率的一维电子谐振子辐射能量子是不连续的,只能是以εn=h×nγ1形式辐射能量的物理内涵所在,这也与玻尔轨道能级跃理论中不同轨道电子跃迁释放能量(光子)不同的论断不谋而合。
(6)、普朗克将h假设为常数有什么物理意义?
普朗克认为,在ε=nhγ公式中h只是一个比例系数,他假设h对所有的电子谐振子都相同,故称普朗克常数,当时他按照经典热力学统计计算得出h=6.63×10^-34J.s,后来通过爱因斯坦光电效应测定值为h=6.6252×10^-34J.s.
从物理量纲上看,h即可以认为是功率单位,又可以看作是角动量单位;从普朗克对能量子的定义上来看,作为功率单位比较合适,但从玻尔轨道角动量假设公式mvr=nh/2π来看,作为角动量单位比较合适,而且从爱因斯坦光量子及德布罗意粒子波角度来看,作为角动量单位可能更合适些;那么,h到底体现的是什么单位更准确呢?h在ε=hγ公式中为什么是常数?等问题,直到现在还是一些悬而未决的问题。
不过,我们通过分析谐振动可用旋转矢量圆来描述,将这种描述运用到普朗克一维电子谐振子及爱因斯坦光量子辐射上,就可以看出普朗克常数真正地物理意义了。
我们知道,爱因斯坦在其狭义相对论中认为,各种光子运动速度都相同,即为光速c,且规定光子都没有静质量m0,但都有一个有限值的动质量m,至于这个动质量对不同能量的光子是否相同,爱因斯坦并没有给出说明;如果按照爱因斯坦质能守恒理论推理,光子运动动能可写成E=mc²形式,也可写成ε=hγ,且二种定量形式等价,如此以来就有一个问题出现:对于不同频率γ的光子,其所具有的动质量m=hγ/c²会不同,即光子动质量是一个变量;例如,光子频率为γ1,其动质量就是m1=hγ1/c²,光子频率为γ2,其动质量就是m2=hγ2/c²,光子频率为γ3,其动质量就是m3=hγ3/c²……光子频率为γn,其动质量就是mn=hγn/c².
现在假设γ1为所以光子频率中最小,且γn=n×γ1,则有
mn=hγn/c²=nhγ1/c ²=n×m1.
这说明光子动质量描述的实质还是一种能量,即光子不同能量就体现在它们的动质量不同上,而且在频率γ1下所对应光子的动质量m1最小,它的能量ε=m1×c²也最小,我们以此为基本能量单元,可以用它衡量其他不同动质量光子的能量为εn=n×m1c².
而对于不同频率的谐振子,上述我们已给出可以用εn=h×nγ1来定量描述,也就是说,在所有不同频率的电子谐振子中总有一个最小振动频率γ1,其对应的最小能量是E1=hγ1,它振动辐射出的光子能量就为ε1=h×γ1=m1×c²,如此以来,其他频率下的电子谐振子振动辐射的光子能量就有εn=h×nγ1=mn×c²的等价描述形式,因此,一维电子谐振子振动辐射光子的能量就都可以表示成εn=h×nγ1的形式,而这种描述的本质是将h看做是同振幅下不同振动频率的电子谐振子振幅旋转矢量圆中的最小角动量,即h=2πr1×me×v1.
当然,对给定频率的电子一维谐振子振动由于振幅不同,也可以辐射出不同能量的光子,这些光子能量的差异性可以用εn=h×nγ1=mn×c²来定量描述,这里h还是表示最小振幅下的谐振系统能量用振幅旋转矢量圆来定量描述时的最小角动量.
由此可见,普朗克常数h的物理本质应是将电子谐振子振动辐射光子的能量用振幅旋转矢量圆来描述时的最小角动量h=2πr1×me×v1;同时也表明,一维电子谐振子振动辐射出光子的能量就是这个谐振系统的振动能量,这就是说,光子能量定量具有一维谐振子振动的频率性,是一种固有能量,但这并不是说它被电子谐振系统发射出来后的运动具有天然频率性,只是说光子运动动能ε=mc²可以用ε=nhγ来描述,也就是说光子运动所谓的“波粒二象性”是由其能量用ε=nhγ来描述后臆猜出来的,这不是一种真实存在,光子运动本质就是粒子性的,并没有所谓的“波粒二象性”。
请谨记:任何波能描述公式都离不开波源的振动频率,即波频就是波源固有的振动频率,如果将光子、电子、中子等粒子的运动都看做是有波频的话,那这个波频一定是辐射它们的波源振频。
5、一维谐振子与爱因斯坦光量子
1905年期间,为了解决光电效应实验规律与经典物理学理论的矛盾,爱因斯坦对光的本质提出了新的理论,他认为:
光本身可以看成是由微粒组成的粒子流,这些粒子叫做光量子,以后就称为光子;在真空中,每个光子都以光速c=3×10^8m/s运动,对于频率为γ的光束,光子的能量为ε=hγ,h为普朗克常数;按照爱因斯坦的光量子假设,频率为γ的光束,可看成是由许多能量均等于hγ的光子所构成;频率γ越高的光束,其光子的能量越大;对给定频率的光来说,光的强度越大,就表示光子的数目越多。
如图-27,爱因斯坦对光电效应的解释,使我们对光的本性在认识上有了一个飞跃;光电效应显示了光的粒子性,这就是说,某一频率的光束,是由一些能量相同的光子所构成的光子流,在光电效应中,当电子吸收光子时,它要吸收光子的全部能量,而不能只吸收一部分,光子与电子一样,也是物质的基本单元。
光子的质量静m0=0、动质量m=hγ/c²,动能E=hγ,动量P= hγ/c,后来量子力学发现,光子还有自旋角动量和轨道角动量。
对光电效应(还有康普顿效应)等实验的成功解释,证实了爱因斯坦光子假设的正确性,光具有粒子性,但在光的干涉,衍射及偏振等现象中,又明显地表现出光的波动性,这说明光既具有波动性,又具有粒子性,这就是说,光具有波粒二象性;一般来说,光在传播过程中,波动性表现比较显著,当光和物质相互作用时,粒子性表现比较显著,光所表现的这两重性质,反映了光的本质,然而,光的这两方面性质是经典物理不能容许的。
至此,爱因斯坦关于光运动具有波粒二象性的观点由然而出,即光是由光子组成的,借用普朗克能量子描述就是光子可由黑体中的电子谐振子振动发射出来,被发射出来的光子具有电子谐振子的频率性,这种频率下光子所具有的能量是固有能量,即ε=hγ.
虽然爱因斯坦光量子思想起源于普朗克的能量子假说,但能量子与光子最大不同就在于,普朗克能量子是指电子谐振子振动一个周期下所发射的可独立存在和运动的电磁波片段(又称量子化电磁波),它只有能量没有质量,靠电磁场交变而产生运动;爱因斯坦将普朗克的这种电磁波能量片段引申为可独立存在和运动且与电磁波片段能量等量的光量子,不过这种光量子在运动中还保留电磁波片段中的波动性特点,同时为了与普朗克能量子概念相一致,爱因斯坦又假设,光子只有动质量,没有静质量,它所谓的动能、动量等都是动质量下的产物,光子运动中表现出的频率正是电子谐振子的振动频率,其运动波长正是电子谐振子振幅的2倍;可见,爱因斯坦是将能够独立运动的普朗克电磁波段(能量子)压缩成了一个能量波动点,这个能量点被称为光量子确实可以看做是粒子,如图-28所示。
不过这里要明确的是,一维谐振子运动可以将振子振幅A看做是一个旋转矢量,其矢端的旋转速度就是以振幅为半径的旋转矢量圆速度,其大小为谐振子振动的最大速度,但这个旋转矢量本身并不做谐振动,而是旋转矢量端点的投影点在做谐振动,这样就将一维谐振动转换成了二维圆运动的描述形式;同样地,我们也可以将真实的圆运动看做是一维谐振动,即将二维圆上质点运动在其平面坐标轴上的投影就是一维谐振动,但这个一维谐振动并不是圆运动,而是圆半径上的质点在作圆周运动,这样二维真实圆运动就转换成了一维谐振动,也就是说,一维谐振动与圆运动具有通融性,这就为以后的玻尔能级轨道理论及薛定谔波函数来描述电子运动问题垫定了扎实的物理基础。
我们在普朗克能量子理论中很难看出普朗克常数h所包含的实际物理意义,但放到爱因斯坦光量子理论中就可以看出它鲜明的物理意义了,因普朗克能量子概念没有办法制定出角动量概念来,而光量子就可以制定出角动量概念,这正是爱因斯坦光量子理论比普朗克能量子理论更进一步的原因所在;比如,一个动能为ε1=m1×c²的光子,它是所以光子中动质量最小的一个,其从电子谐振子中被发射出来时,用谐振子振幅A1作旋转矢量圆,就会得出这个光子被发出的能量另一种定量描述ε1=hγ1=m1×c²,这里h=2π×me×v1×A1=2π×me×v1×r1,v1是电子谐振子的最大振动速度,r1是最大振幅矢量圆半径,me是电子静质量,m1是所以光子中最小动质量。
爱因斯坦虽然将普朗克能量子看做是光子,但它还不是真正的粒子,因为它没有静质量,而且运动速度为常数c,故对其运动所具有的能量只能用辐射它的电子谐振子振幅的旋转矢量来描述,即频率为γ的电子谐振子振动辐射出的光子自由运动所具有的动能可以描述为ε=hγ,也正因如此,光子自由运动才被认定为有波动性,这正是“光具有波粒二象性”思想的起源源头所在!
其实,光子自由运动所具有的动能可用电子谐振子的固有频率γ来定量,但这并不是说光子自由运动就具有频率γ性,从而认为它的运动具有波粒二象性;如果光子运动真的具有波粒二象性的话,那光子运动岂不就成了一个带上辐射它的振动波源一起的运动,这种运动怎么可能存在呢?
普朗克一维电子谐振子其实就像电磁波发射中的偶极振子一样,它只是一个传递能量器;我们给黑体加热时,黑体吸收能量也是以光子形式被黑体中自由电子或静态电子所吸收,电子吸收光子后将产生热运动,并与其他电子构成一个谐振系统,然后振动并对外界将吸收来的光子再释放出去,不论是黑体吸收的光子还是释放的光子,其本身所具有的固有能量都可以用ε=hγ来定量描述。
目前,波粒二象性已被主流物理界所接受,于是他们给出了诸多不可思议的诠解,比如,光子平动速度为c,也是宇宙粒子最大速度,如果把光子运动看做是一种横波运动,则它在波形上的速度就会超光速;如果将光子波动看做是纵波,即光子在以c速运动中还带有电子谐振子的特性,即作一个电子谐振波长的左右摆动,但光子在摆动时,摆动态光子的矢速合仍会超过速度c;难道光子在波动中有2倍c速度性?
为此,他们又给出了相速度与波速度概念,即认为光子在波动线上的速度是光子波动的相位速度,它并不表示光子平动的真实速度,只是反映相位随时间变化的快慢,而在波长线上的速度为波速度才是光子平动的真实速度——这种解释只会徒增人们对波粒二象性认知的更大困惑。
其实,相速度之说是对光子被一电子维谐振子发出时所具有能量ε=hγ的解释,并不是对光子运动真正具有波动性的解释,这是忽略了光子固有能量与光源固有振动频率有必然联系性的结果。
特别提醒:光子概念出现后,人们在研究光问题时,倒是把光的发射源—一电子维谐振子忘得一干二净了,其实一级光或称光子固有频率永远是发射它的一维谐振子的固有频率!
我们还应该清醒地看到:爱因斯坦假设中,光子没有静质量,还可以勉强看做是一种电磁波,但后来德布罗意提出物质波就不可思议了,因为一维电子谐振子中发射电磁波、光子都是只有能量没有静质量,而用一维谐振子模型去探讨有静质量的电子发射就不一样了,因为我们不知道电子波动频率将从哪里来?这就是说,德布罗意波才是真正迷人心智的波!
其实,对于光子运动的所谓“波粒二象性”问题,我们从一维电子谐振子辐射光子的机制中就可以看出来,光子运动的所谓波动性,只是体现于在电子谐振子振动所具有能量等于其辐射光子能量的描述,这并不是对光子自由运动轨迹的描述,自由运动的光子根本不可能有波动性;人们之所以认为它自由运动是波动前进的,其根原因就在于人们没有办法解释光的干涉、衍射、偏振等波动行为才具有的现象;其实,从现代物理学角度来看,光子有自旋和轨道角动量,我们可不可以假设光子运动有自旋磁动量,就像它运动有动质量一样,我们再结合空间磁场因素,这样就可以不用其所谓的波动性,而直接用其粒子磁性就可以完整解释它的干涉、衍射、偏振等现象了,而且,这种思路也完全可以推广到电子、中子等实体粒子的“干涉、衍射、偏振”等现象诠解上,如-29所示。
6、一维谐振子与德布罗意波
在1923年到1924年期间,光的波粒二象性作为一个普遍概念,已为人们所理解和接受,路易•德布罗意认为,如同过去对光的认识比较片面一样,对实物粒子的认识或许也是片面的,二象性并不只是光才具有的物理属性,实物粒子也具有二象性,德布罗意说道:“整个世纪以来,在光学上,比起波动的研究方面来,是过于忽视了粒子的研究方向;在物质粒子理论上,是否发生了相反的错误呢?是不是我们把关于‘粒子’的图像想得太多,而过分得忽视了波的图象?”德布罗意把光学中对波和粒子的描述,应用到实物粒子上,他假设一个质量为m的实物粒子,以速度v作匀速运动,一方面可以用能量E和动量P对它作粒子的描述,另一方面也可以用频率γ和波长λ作波的描述。能量E与频率γ,动量P与波长λ之间的关系,和光子的能量E=hγ,动量P=hγ/c公式相类似,德布罗意假设为E=hγ和P=h/λ,h是普朗克常数。这两个方程既含有反映粒子的量,又含有反映波的量。描述粒子性的量是能量E和动量P,描述波性的量则是波长λ和频率γ,所以,上两式给出了粒子性和波动性的联系。
如图-30所示,按照德布罗意假设,与匀速运动的实物粒子相伴随的波之波长为:λ=h/p,p=mv,所以有λ=h/mv;这种波叫做德布罗意波,P=h/λ或λ=h/mv叫做德布罗意公式,他给出了与实物粒子相联系着的波,其波长和粒子质量、速度之间的关系。
仔细阅读教科书上的这段叙述,我们可以看出,德布罗意粒子波思想起源于爱因斯坦的光量子假说,而光子所具有的波动性(即频率性)起源于普朗克的一维电子谐振子假设,但德布罗意假设电子也有波动性(频率性),那么电子的波动频率来自于哪里呢?它的运动为什么可以被认为有波粒二象性呢?……
回答这些问题,首先就需要搞清楚,电子是从哪里被发射出来的?
按照普朗克的一维电子谐振子发射能量子的观点来看,如果电子运动有频率性,则这个频率也应该是发射电子的谐振系统频率,一个电子不可能在平动中无缘无故地具有频率性。
为此,我们按照普朗克的思路,将原子核振动看做是一维谐振动,这种谐振因核之间的强作用力,与电子谐振相比较就会表现出振幅小、振频高的特点,即从中辐射出的电子波长短、频率高,将电子运动看做波动来验证的话,结果确实如此!
可事实证明,原子核振动并不发射电子,现代物理学认为,电子一般是由摩擦、撞击、核裂变或衰变等方式产生,可见,将电子赋予波粒二象性是没有发射理论依据的,也就是说,电子自由运动中所谓的波动频率没有出处,只能算是臆猜而来的;现在物理学唯一能够证明电子运动有所谓波动性的是来自实验“判断”,因为电子通过晶体空隙或窄缝时会产生所谓的干涉、衍射等波行为图案,这用图案用经典的电子粒子性是无法给予合理解释的。
但我们应该知道,在德布罗意提出实体粒子具有波粒二象性之时,电子有自旋和自旋磁矩性的实验和结论还没有出现,而且在那之前,我们只把电子看做是有质量、空间、电荷属性,并没有发现它有自旋和自旋磁矩属性,也就是说,他们对电子的“干涉、衍射”等现象的解释是无法从自旋和自旋磁矩高度去认识的;那个时代得出的结论延续至今,我们是不是应该从电子自旋磁矩性角度去反思一下这种结论合不合理呢?
现代物理学已证明,构成窄缝或小孔的周围物质都是由原子或分子组成,而原子或分子又都是由电子、质子、中子等带有自旋磁矩的粒子组成的,它们在纳米尺度下构成的空间都会有明显的磁场性;如果我们再结合电子的自旋磁矩性,就可以用磁场梯度力和洛伦兹运动相结合的办法去完成解释电子通过窄缝或小孔时会产生所谓的“转弯”—干涉、衍射等运动现象了,如图-31所示。如此以来,电子、质子、中子等实体粒子的运动到底有没有波动性的问题就可以尘埃落定了,甚至光子运动也是如此!
图-32 图-33
其实,戴维逊-革末和G.P汤姆逊所作的“电子衍射”实验,如图-32所示,他们只是证明电子束照射晶体表面或通过銫晶片能够产生“转弯”运动,而且随电子束中的电子运动速度不同,“转弯”大小也不同,至于电子“转弯”是由电子具有“波粒二象性”造成的还是由电子自旋磁矩与晶体空间磁场相互作用造成的?凭现代的物理学实验手段应该能够给出一个明确的答案了。
至于德布罗意给出的几率波解释问题,他在解释电子通过窄缝或小孔空间分布强度不均性时,倒是忘记了电子束中电子运动的速率具有麦克斯韦几率分布性特征,如图-33所示,也就是说,电子强度分布的几率性来源于电子束中电子速率的几率分布性,而不是他假设的所谓物质波属性,更不是哥本哈根解释的薛定谔方程“几率模方”的形式。

加载中…