从一维谐振子看薛定谔方程的局限与缺陷
标签:
自旋场物理学 |
分类: 原创•评论 |
【引言】:让人困惑的物理描述不应是对物理本质的描述,如量子力学的波粒二象性问题,二种在自然界根本就不可兼容的东西非要柔和到一起,那就肯定会让人匪夷所思;对此困惑的释解,解铃还须系铃人,这就须从波粒二象性得出的历史资料上去查找让人产生困惑的根源。
任何波的产生都来自于波源的振动,波动只是传播波源振动的一种形态,因此,研究波问题就绕不开波源振动,大自然中最简单的波源振动是简谐振动。
回顾波史,从简谐振动到简谐波动,从LC振荡到偶极振子,从电子谐振子到电子轨道跃迁,这每一步变迁无不体现了一维谐振子及其演变的身影,本系列小文正是想从一维谐振子入手,去揭开现代物理学“波粒二象性”迷雾之旅。
从一维谐振子看薛定谔方程的局限与缺陷
司今(jiewaimuyu@126.com)
8、一维谐振子与薛定谔波方程
我们在研究电子绕核或其他形式的曲线运动时,之所以可以用薛定谔的波动方程,就是因为电子绕核会作圆运动或电子通过外磁场空间可以作柱螺旋运动,这个运动轨迹在x轴或xy平面上的投影点具有简谐振动性,如图-7所示。
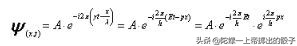
我们知道,薛定谔波函数可以用机械波方程加德布罗意公式推导出来,即:
将普朗克能量子方程ε=hγ=mv²及德布罗意波公式p=mv=h/λ代入复数表示的机械波方程中,就可以得出薛定谔波函数:.
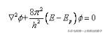
将这个波函数放到引力场中就会得出薛定谔方程,即
薛定谔方程推导中引用的德布罗意波公式λ=h/mv,其本身是由普朗克一维谐振子模型得出的,也就是说,薛定谔波函数所描述的粒子运动也应与一维谐振子振动相关联,而一维谐振子是一个有动能和势能守恒且相互转化的运动,因此,由薛定谔波函数必须与势能场联姻才会表现出其真正的意义,这可以从量子力学在解决一维势阱的电子运动几率分布和氢原子电子绕核运动的几率分布(电子云)中看出这种联姻的作用,如图-39所示。
当然,现代用电子自由运动的薛定谔方程去求解电子衍射问题时还是存在明显不足的,因为在解释电子通过窄缝产生衍射时并没有考虑电子自旋磁矩与缝空间所应具有的势能场的作用,如图-10、11,故会出现对衍射、干涉等实验现象的五花八门地解释,但这些解释还都是站在电子为经典粒子角度进行的,故仍都不得要领。
关于薛定谔方程的物理意义及局限与缺陷性、电子双缝干涉实验及电子云概念形成的具体论述和剖析,我们会在《重新解读和修正薛定谔波函数方程——对电子衍射形成的物理机制及薛定谔波函数方程物理意义的探讨》一文中详述,本文揭示了由于薛定谔方程不包含自旋要素,故存在很大缺陷,并为此重新推理出了包含自旋要素的薛定谔方程新形式,但这里由于篇幅限制这里就不做傲述了。
总之,薛定谔方程在描述粒子运动方面有它明显的优势,但由于经典粒子观念与“波粒二象性”思想的干扰,人们对它物理本质的解读越发扑朔迷离,要想真正看清这个方程内在的物理本质,就必须抛弃经典粒子观念与“波粒二象性”思想,以场、自旋磁矩、动势能与角动量守恒等为依托,这样,薛定谔方程迷惑的外衣才会被拨下,量子力学的天空才会呈现出一个艳阳天!

加载中…