知心之志王阳明,吾辈何能龙场现怎么样才能在股市实现自我突破
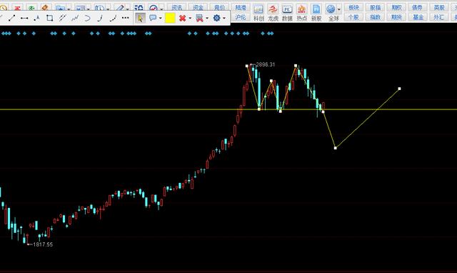
先说当下对大盘的分析,四五月的时候提到大盘的高点上行到7月末8月初,基于这个如果不能判断这波日线的高点也会是存在次高点的判断,现在来看,7月13是这一波日线的高点,8月初是创业板的次高点。8月的第一篇文章提到8月第一周如果上行则冲高后注意风险撤退,上行到8月5日周三提到清仓,而后创业板运行了6连阴,直到本周五的单阳反弹,上证指数则较强表现也符合预期。
大周期,依旧维持上证指数这里上行到明年春的判断,这是自3月2646点起来的周线3浪,时间大概为1浪到2浪的合一年左右,空间为1浪的2倍,大概到4300点附近(比较粗糙些)。而对于创业板来看,这一波从2018年底启动的牛市达到的最低空间是达到了2800点到2900点附近。这是2019年1月给的目标点位。接下来创业板是继续上行多些顶多是三千多些的点位,也就会进入一波按月线级别的回调中去了,那是明年的事到时候再说。
上证指数周线3浪,依旧维持3波推动形式,第一波已经过去,第二波会发生在10月到11月的那段,第三波发生在明年春。
日线,3458点的高点见高点后,那几天大盘出现过两波较大幅度的回调,而后本周其实是窄幅波动, 在本周三收盘后我就提出来大盘的运行方式可能比之前预期要强,破位下去回踩3127点可能没了,可能会选择调整周期震荡形式为主,但依旧这里会是震荡中的下行阶段,因为上证指数走的是窄幅夹在中间的走势难以精确判断,不过依旧维持,周五的上行中阳还是缩量的,注意反手下的风险。至于创业板,颈线位置出现休整的反弹小阳,和2019年4月30日很像,注意再次下行的风险。当然这里如果下行过后,就基本释放这一波日线的下行空间了,而后,就可以转变策略了。
短线策略,依旧注意防创业板的继续下行,上证指数的调整周期的继续下行,较大可能依旧沪强创弱。加上短线情绪周期依旧处于衰退阶段。
仕宦当做执金吾,娶妻当的阴丽华
知心之志王阳明,吾辈何能龙场现
炒股这么久了,11年5月入市,当时基于行情较差自己也是新手,亏钱。后才来的2013年到2015年中的创业板牛市,之后股灾深入反思了对于股市的运行,自我的反思。后来是在2015年国庆在海边的时候想i起了换种思路去看市场,然后就开始了写文复盘的开始,现在过去也快五年了。
虽然判断分析上也做到了比大多数人靠谱(我自认为),好比去年11月开年底两个月会来一波行情,今年1月时候提出美股会发生十年来最大一次下行,也会带动A股下行。3月判断低点但4月堤防再次探底五一之后就坚定看上行趋势不变注意可能的加速,上行周期到7月末8月初。整体上来看还是靠谱的。但这里依旧有些问题我始终无法突破。
2017年的5月到年底的那一波行情,那时候显然就判断上没那么精准,主要的原因是趋势型走势上后结构理论判断上的失效,那些整天运用的很多人根本还没明白。这一点的变化是从2017年下半年开始的,而后逐年开始加深,去年和今年其实也很多次,那些传统意义上判断的准的大佬显然如今很多次失误,不是为啥,是市场某些东西变了,他们丝毫没察觉。
这个问题其实和美股是一样的,所以我一直说美股其实看不懂,只有极少数极少数才有方向感。我一直搞不懂这些,还有其他的,每次的进步需要自我否定,然后去寻找哪些是可以确定并且证明有效的,哪些 可以确定无效并且可以证明的。哪些是无法确定的。每次,我总能续爱那个起龙场顿悟前的王阳明,从小至死的追求,不懈努力的执着,否定无效的认知,顿悟之前的彷徨。最终积累下一个龙场顿悟实现了突破。
我也很想个来一个龙场顿悟,实现对股市及人生的更高追求的突破啊

加载中…