人为什么会丢失童年的记忆?
标签:
育儿 |
人为什么会丢失童年的记忆?
文/Owl of Minerva(知乎)
本文系作者授权“清南”发布,如需转载请与作者本人联系。
目前在科学界来看,所有关于记忆形成和存储机制的问题都是没有被很好回答的问题。我们有描述记忆形成、存储的模型,但是还不能从根本上去理解其机制。这个回答仅仅从现有的模型出发,去尽可能的解释该问题。
问题描述
http://pic2.zhimg.com/d53ab4e456e7a94ee52fa510d308a379_b.jpg
婴幼儿时期记忆的丢失,被称为infantile amnesia或者childhood
amnesia,即幼儿期遗忘。最早由Sigmund Freud
(弗洛伊德)描述和定义,并提出模型[1]。但是弗洛伊德对该现象的解释模型,跟其他弗洛伊德的理论一样,由于充斥着经验主义、牵强附会的特性,逐渐被科学界摒弃。
当我们谈论幼儿期遗忘时,我们谈论的是长期记忆(Long Time Memory, LTM)的丢失,而不是短期记忆(Short Time
Memory,
STM),LTM与STM之间有着明显的机制差异。一般人在成人阶段,不会记得2-4岁之前的任何事情,而且十岁之前的记忆,也会随着年龄的增长而逐渐湮没[2]。相对的,在儿童阶段,我们很可能会记得几岁时候的一些事情。
脑部发育
http://pic3.zhimg.com/3a5a843fa0051b27f86145e844263bbe_b.jpg幼儿时期,人脑处在快速发育的阶段,上图是关于幼儿脑部的MRI影像[3]
,在发育的过程中,我们可以看到:
1.脑部的体积在增加(上图中第一行)
http://pic4.zhimg.com/e3c9caf90af149986b349d2fdb46b8f7_b.jpg这种增加不仅体现在整体上的脑容易,还体现在脑皮层、小脑和边缘系统以及脑干组织(上图)[4]
2.脑部的白质发育变化非常的明显(第二张图第二行,图像中亮黄色部分),白质部分主要对应神经纤维束和包裹在其外部的髓鞘,是连接脑部各个区域的信号导线。说明人在刚出生的一段时间,脑部各个区域之间的联系还没有很好地形成/建立。
http://pic2.zhimg.com/856266d324bb63c761a22f01fa2fcec5_b.jpg而且,灰质体积比白纸体积变化更明显,说明在刚出生一段时间的发育过程中,神经细胞还处在迅速的形成/发育之中。
在婴幼儿阶段,脑部的结构还没有成型,关于长期记忆的海马体和杏仁核还处在发育过程中。我们存储长期记忆的载体(杏仁核、海马体)还处在快速的变化,而且功能不够完善。我们关于记忆机制的脑部各个区域之间的连接,也处在不断的变化之中。早期的连接可能经过一段时间的发育就被破坏了,记忆因此也丧失了[5]。
视觉
谈论到长期记忆,不得不提到所记忆的内容。在长期记忆的内容中,视觉占有很大的成分。而对婴幼儿来说,他们看到的世界跟成人看到的世界是不一样的。在孩子还小的时候,我们不能以为然的在婴儿身上期待我们在成人中所看到的视觉反应[6]。
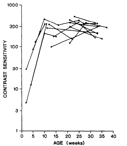
http://pic2.zhimg.com/5c086c522e5b2cef1c67d34e66e1ac79_b.jpg婴儿眼睛的分辨能力在最初的十个月又一个快速的上升阶段[7],在几个月的时候,婴儿甚至都不能看清眼前的物体。
http://pic1.zhimg.com/2a658f109db7082ffdabc7282c11fbb4_b.jpg
此外,婴儿对颜色的感知也是与成人不同的[8],其对空间频率的感知像是一个低通滤波器,而成人的更像是一个带通滤波器。
婴儿看到的世界并不清晰,而且也不色彩斑斓:
http://pic2.zhimg.com/418014c5ca0608a9f350f1452db3a1c1_b.jpg在视觉信息不清晰、不准确的情况下,我们是不能指望有清晰的记忆的。
语言
http://pic1.zhimg.com/2bf35d4e55a7e63bea357f2d8918c5dc_b.jpg
在婴儿阶段,一岁以前基本没有语言能力[9]。在没有语言/语言能力缺乏的时期,我们对记忆的编码会遇到困难。对于长期记忆,我们需要经常的回忆才能保持特定的记忆或者强化,而语言编码在回忆中是非常重要的的。
自我意识
由于脑皮层还没有成熟,婴儿的行为主要受皮层下组织的驱动。这时他对任何身体的需求都是直接表现出来的。因此婴儿时期还不能通过镜子测试[10]。他对周围世界中事情的参与度很低,更像是一个旁观者,而不是一个主动的参与者。隔岸观火跟身临其境毕竟不同,我们在旁观的情况下对事情的记忆,显然没有参与其中来的好,这也是为什么提倡沉浸式学习的原因。
--------
[1] Freud,
Sigmund.
[2] Robinson-Riegler, Bridget, and
Gregory L.
Robinson-Riegler.
[3] Sakai, Tomoko, et al.
"Differential prefrontal white matter development in chimpanzees
and humans."
[4] Knickmeyer, Rebecca C., et al.
"A structural MRI study of human brain development from birth to 2
years."
[5] Josselyn, Sheena A., and Paul
W. Frankland. "Infantile amnesia: a neurogenic
hypothesis."Learning & Memory
[6] Atkinson, Janette, Oliver
Braddick, and Fleur Braddick. "Acuity and contrast sensitivity of
infant vision."
[7] Norcia, Anthony M., Christopher
W. Tyler, and Russell D. Hamer. "Development of contrast
sensitivity in the human infant."
[8] R Wilson, Hugh. "Development of
spatiotemporal mechanisms in infant vision."Vision
research28.5 (1988):
611-628.
[9] Kuhl, Patricia K. "Early
language acquisition: cracking the speech
code."
[10] Gallup Jr, Gordon G., James R.
Anderson, and Daniel J. Shillito. "The mirror
test."
来源邀稿:Owl of Minerva
http://www.changweibo.com/ueditor/php/upload/20150606/14335547712406.jpghttp://www.zhihu.com/question/26766931/answer/34005392

加载中…