标签:
书法历史文化艺术教育 |
分类: 趣说中国汉字\书法史 |
前面说过文征明因为字写得差,科考时考官只给了他一个三等,这才刺激文征明苦练书法。
明代还有一位书法家,也是因为同样的原因才投身书道的——他就是董其昌。
董其昌字玄宰,号思白,别号香光居士。
他17岁时参加松江府会考,考官嫌他字写得差,把他从第一名改成了第二名——董其昌那个气啊,从此他发悲痛为力量,刻苦练字。
他先学颜真卿的《多宝塔碑》和虞世南的帖子,接着又上溯魏晋,临摹钟繇和王羲之的小楷。
练了三年后,他就觉得自己已经达到古人的境界了,从此不把文征明、祝枝山之流放在眼里。
后来,他又有幸遇到了大收藏家项元汴,从看到了大量的晋唐墨迹,眼界大开,书法更上一层楼。
1589年,董其昌考中进士,并因文章、书法优秀被选为庶吉士,入翰林院深造。
在翰林院,他又认识了另一位大收藏家韩世能,借到了西晋陆机的《平复帖》、《曹娥辞》等真迹临摹。
……董其昌就是这样不断的通过结交收藏家,增长了见识;靠不断地临习名帖,提高了书法水平,这也为他在49岁时,编刻《戏鸿堂帖》奠定了基础。
《戏鸿堂帖》又名《戏鸿堂法帖》,是董其昌选辑晋、唐、宋、元名家书迹及旧刻本,用上好木料请高手匠人镌刻而成,共16卷。
最初的《戏鸿堂帖》选材精良、摹刻精到,广受文人士子欢迎。
但这么好的刻本,却被老百姓一把火烧了。
——这并不是老百姓愚昧无知,而是董其昌一家子太遭人恨了。
先是董其昌利用权势大肆搜刮田产,积累了不少民怨。(据《云间杂识》记载:“董思白为诸生时,瘠田仅二十亩”,成名后富到连宰相徐阶也对他“膏腴万顷,游船百艘”的家产自叹弗如——这么强的致富历程中没点黑幕谁信呐?)
接着,董其昌的大儿子董祖常又闹出一出强抢民女的大事,被人编成话本传扬。
董氏父子把说书人抓来审问,牵连出秀才范昶。
董家又抓来范昶,强行逼供。范昶不认,董家就让范昶到城隍庙对神灵发誓。经此折辱,范昶没几天便郁郁而亡。
范家遗孀上门讨公道,又被董祖常剥衣示众——这可是在女子贞洁大于天的明朝啊!光身子被人看了还能活吗?
可这样大的人命案件官府还不敢管!
大路不平自有人铲!官府不敢动董府,老百姓可不管那么多!
一夕之间,松江府大街小巷的处处都张贴着揭露董氏父子的揭帖,将二人称为“兽宦董其昌”、“孽枭董祖常”,就连孩童们都唱起了:“若要柴米强,先杀董其昌”的歌谣。
三月十五,数万人聚集到董府门前声讨劣行,而董家却令仆人、家丁向围观人群泼洒粪便,投致瓦砾。此举更是激起了群众的怒火,数万人一哄而上,推倒董府大门,将董府数十间厅堂砸得稀烂。
消息传开,上海、青浦、金山等县的百姓纷纷赶来。混乱中有人放了一把火,将董家烧为灰烬,《戏鸿堂帖》自然也没能幸免于难。
这件事被称为“民抄董宦”,这在中国封建文人的历史中,算是独一份了(以前文人只有被官府抄家的,再要不是就是民间起义不分文人官吏地主富豪一起抄,和平年代文人被这么大规模的民众抄家确实开创了历史,也就后来五四运动中火烧赵家楼可以比拟)。
后来董其昌根据拓本又重新刻了一份《戏鸿堂帖》的石刻本,但由于是翻版的翻版的翻版,刻工就不行了。
董其昌的品行虽然不行,毕竟还只 是祸害一方。还没到蔡京、秦桧危害一国的地步,所以他在书法史上的地位还得以保全。
他与邢侗、张瑞图、米万钟并称“邢张米董”,实际上他的书法造诣应是四人之首。
他的书法综合了晋、唐、宋、元各家的书风,自成一体,运笔飘逸虚灵,笔画秀逸古朴,用墨浓淡得宜,布局疏朗匀称,有“颜骨赵姿”(颜真卿的笔力,赵孟頫的优美)之誉。
他的作品在当时就很受人追捧,甚至还“名闻外国,尺素短札,流布人间,争购宝之。”(《明史·文苑传》)
到了清代,康熙、雍正、乾隆都十分推崇董其昌的书法,导致天下士子纷纷临习董其昌的字,还将他的字化成了馆阁体,成为官方标准字体,这也是极力反对馆阁体的董其昌始料未及的了。
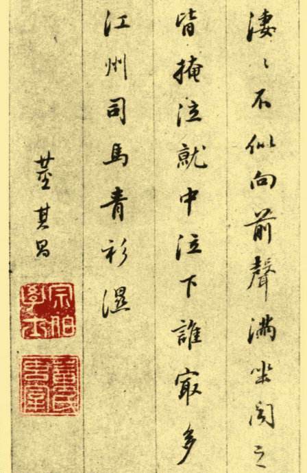
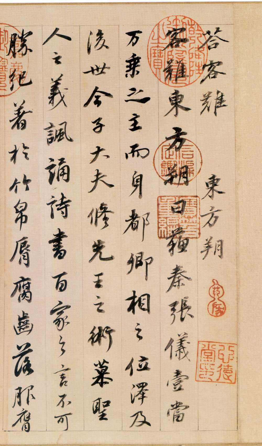
董其昌的主要书法作品有《杜甫醉歌行诗》、《岳阳楼记》、《东方朔答客难》、《月赋》、《自书先世诰身册》、《白居易琵琶行》、《草书诗册》等。
最后一笑要说的一点就是,虽然一笑写文章时也会参考百度百科,但并非照搬照抄,而是多方查阅资料,反复印证,再加以自己的判断而成,所以有些内容和百科不同也属正常。毕竟历史的真相如何,还有待我们的进一步发掘,我说的未必不真,百科的也未必无假,是非公道,诸位自行辨识。
本文为《趣说汉字书法史》系列文章,每天只需1分钟,就能得到受用一生的艺术素养。请加关注,看之前文章获得更多有趣的知识,及时提示更新。转载请标明出处,欢迎出版社与我联系。

加载中…