郑氏点银:黄金1938延续看上行,原油底部弱势整理
标签:
白银黄金 |
分类: 每日点评 |
郑氏点银:黄金1938延续看上行,原油底部弱势整理
回顾上周五行情走势及出现的技术点:
第一,黄金方面,隔夜探底拉升,凌晨支撑于1929上,第二日早盘先回测,则午后或欧盘前后要择机跟多一次,参考点首选凌晨横盘位置,以隔晚起涨点1922作为防守,继续看震荡上行;而整个欧盘波幅狭小,虽未能破位隔夜高点走延续拉升,但整体的走势是符合震荡一路慢上行,且未失守早间低点,因此坚守日内多单,美盘开盘向上快速冲击至1939一线,抵达原先目标减持;对于亚欧盘震荡上行,美盘前继续冲,美盘后先跌就容易诱空而迎来二次上行,则借助回测1932逢低继续跟多,抵达1945-1950高位目标减持或收割;
第二,白银方面,日内强调持有24底部作为波段持仓,且提出此位置上逢低继续看上行,短线的回测低点24.35一线刚好处于短期趋势支撑点,而日内亚欧盘一路是选择向上运行,美盘先跌也是诱空对待,就不难判断会有二次拉高动作出现;
https://empic.dfcfw.com/888052409073655811/w1087h710/art
今日行情分析解读:
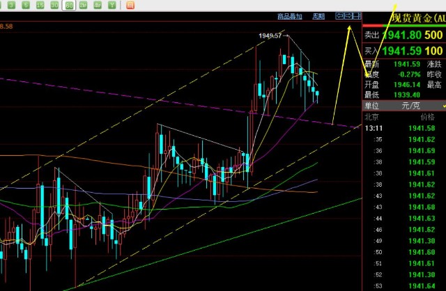
第一,黄金周线级别,上周指出周线级别展开了一定宽幅整理状态,此时来看,还是围绕两观点不变:其一,K线形态阴阳循环切换,处于震荡选择中不变;其二,守住10均线未能有效破位失守前,中期仍处于偏强多头范围,那么对于震荡选择往上概率则会偏大,10日位置上移1930一线,本周重点关注此位置得失情况;
第二,黄金日线级别,上周五收阳,且终于站上中轨,短期均线向上开始发散,集中1930-1936区域买盘会存在,中轨站上后会成为反向支撑,日内1936上方则存在续涨动能,结合macd零轴上方也趋向金叉,一旦落成,应该还有一波上冲发力;当然,由于前期地缘局势爆发带来的红柱放量过大,后期难免会减弱,那么拉高一波也容易受压而再次回测震荡,也即是等待次高点落地后,仍会可能快速下探而继续反复底部酝酿过程;从形态上,日线本周关注1960-65、1975-1980两个重要压力位,触及都或存在一定压制回测,总体上就是维持近期宽幅震荡局面为主;
第三,黄金4小时级别,当前半年线和年均线都有所站上,成为支撑密集处于1932-1930;另外,短期关注10均线1938-37,前期一路连阳,首次触及10日会有二次拉高动作来试探;
第四,黄金小时线级别,隔夜一波持续拉升走高,凌晨支撑于1938,今日早盘先震荡氏回落,则午后或欧盘前后仍要尝试干多,选择进场点依旧是凌晨支撑1938逢低上,当前中轨或也有一定支撑表现,也可分批进场,然后重点看欧盘走势,出现两种情况都可持仓至美盘:其一,持续拉升突破隔夜高点站上;其二,未突破隔夜或早间高点,但走势上也处于震荡一路慢上行;另外,结合通道法则,1938和1935两处都具备趋势线衍生支撑作用,建议逢低多;今日只要再拉高上行,基本1950是挡不住的,会试探1955-1960;
操作上:黄金1938上逢低继续震荡看上行,阻力目标1952-1955、1960-65;
https://empic.dfcfw.com/888052409065226245/w1216h705/art
白银方面,日线缩口三角整理,当前已在测试上轨阻力24.85一线中,能站上则可以扩大震荡范围或延续一波拉升,反之继续缩口内运行;短期支撑上移关注24.45-24.5位置,触及逢低仍做多试探,同时持有24底部作为波段持仓;
https://empic.dfcfw.com/888052409073655810/w799h680/art
原油方面,周线收报一根十字K,而收盘价刚处于前期趋势阻力线上,暂时不能马上判断为极弱下行,还需本周的形态来确认;日线是偏弱的,打回至前期上行通道内,承压短期均线横盘整理;而短周期4小时和小时线是存在底背驰酝酿反抽动能,支撑关注95上,阻力99下,围绕区间还在震荡运行中;强支撑关注91一线,不仅是月线均线回补点,也是日线下轨再次确认点,触及或计划中期买入试探;另外,强压趋势线有所下移100.2,未突破前,不足以改变当前的弱势格局,只不过低位暂时也不好去追空,更多的还是要择机低多来尝试,目的就看98-100区域阻力到底能否一直承压,要短空也只能是反复在此区域中考虑,毕竟也是处于区间内;
建议关注95上支撑,98-99下阻力,强支撑91一线,强压100.2下,找支撑和阻力靠边参与震荡;
以上是笔者技术剖析的几个观点,作为参考,也是十年以来,每日12小时以上盯盘、复盘所积累的技术经验总结,每天都会公开技术点,配合文字和视频解读,想学习的朋友,结合实际走势可以去对比参考;认可思路的可以参考操作,带好防守,风控第一;不认可的就当飘过就行;感谢大家的支持和关注;
【文章观点仅供参考,投资有风险,入市需谨慎,理性操作,严格设损,控制仓位,风控第一,盈亏自负】
撰稿人:郑氏点银

加载中…