偶极振子与电磁波发射
标签:
自旋场物理学 |
分类: 原创•评论 |
【引言】:让人困惑的物理描述不应是对物理本质的描述,如量子力学的波粒二象性问题,二种在自然界根本就不可兼容的东西非要柔和到一起,那就肯定会让人匪夷所思;对此困惑的释解,解铃还须系铃人,这就须从波粒二象性得出的历史资料上去查找让人产生困惑的根源。
任何波的产生都来自于波源的振动,波动只是传播波源振动的一种形态,因此,研究波问题就绕不开波源振动,大自然中最简单的波源振动是简谐振动。
回顾波史,从简谐振动到简谐波动,从LC振荡到偶极振子,从电子谐振子到电子轨道跃迁,这每一步变迁无不体现了一维谐振子及其演变的身影,本系列小文正是想从一维谐振子入手,去揭开现代物理学“波粒二象性”迷雾之旅。
偶极振子与电磁波发射
司今(jiewaimuyu@126.com)
3、偶极振子与电磁波发射
3.1、偶极振子与电磁波发射
经典电磁学中,电磁波发射是我们都熟知的内容,不知道大家注意了没有:电磁波发射的物理原理是LC电磁振荡,为了能够发射电磁波,LC振动电路中的电容器由闭合变成开放,为了能够更有效地发射电磁波,开式LC振荡电路中的金属线圈被一根细金属导线所取代,这样,LC振动电路就演化成了偶极子振荡,即将电容器的二极板所带的电荷看做是二个带正负电荷的小球,将电子在线圈或直导线中的流动看做是静止的,取而代之的是将带有正负电荷的小球在做相对振动,这就称为偶极子振动模型,如图-9所示,这个模型极大地丰富了电磁波产生的物理内涵,也为后来普朗克用一维电子谐振子振动能够发射能量子来解决黑体辐射问题提供了坚实的物理基础。
图-9
不过,这里要讨论一下:在开式LC振荡电路中,用金属线圈连接电容器二极板与用金属导线连接电容器二极板所发射电磁波波形是有差异的,下面以平面电磁波为例,讨论它们的差异所在。
图-10
如图-10,耦合天线中感应线圈所产生的电磁振荡就如同图-11所发射电磁波区域,这时,交变的电场与磁场应处于同一平面,即HE,而且振荡中磁场与电场强度变化的相位差为π/2或3π/2,由此我们得出如图-12所示的这种装置所发射电磁波的运动形式;但要注意,在这个发射装置中之所以会出现HE,是因为线圈电流磁场是由n根导线电流磁场耦合而表现出来的整体磁场,这个磁场是与线圈截面垂直的。
图-11
但由于我们传承了LC振荡与电磁波H⊥E的思想,常认为这种装置发射的电磁波可以用如图-13来描述,其实这是不对的,这里虽强调了电磁场强调变化相位差为π/2或3π/2,但却将电场与磁场看做是H⊥E的了。
图-12
图-13
为了更有效发射电磁波,现代将开式LC振动电路中电容器里的线圈改成细金属导线,以发射波长更短的电磁波,如图-14所示;
图-14
这里,金属导线电流会产生环形闭合磁场,而这个磁场方向与电容器电场方向并不在一个平面,而是相互垂直,即H⊥E,而且导线电流越大,环形磁场越强,即电场与磁场强度变化的相位差为0或π,这就是我们教科书经常给出的电磁波图形,如图-15所示。
图-15
由此可见,电磁波发射天线由“线圈+电容器”变成“直导线+电容器”,它们发射时产生磁场的物理机制是不一样的,前者遵循法拉第电磁感应原理,发射器中磁力线与电力线平行;后者则遵循安培导线电流磁场原理,电力线与磁力线垂直,前者线圈感应磁场是后者导线电流磁场的叠加态。
图-16
如果将“直导线+电容器”物理模型再改造,那就是偶极振子模型,如图-16所示,正负电荷相互振动可以发射电磁波,并由此认为单个电子运动也辐射电磁波;由于电磁波是一种能量,因此,经典电磁学在解释卢瑟福原子行星模型时就提出了一个谬样推理:电子绕原子核作匀速圆周运动,因电子运动方向不断改变,因此电子圆周运动可以看做是一种匀加速运动,这种运动应该会使电子不断地向外空间辐射电磁波能量,所以电子运动能量就会逐渐减少,即运动速度变小,最终电子会落入原子核上,由此推理原子核与电子构成的原子就不可能稳定存在了,而事实是原子一直稳定存在,如图-17所示;为了解决这个问题,后来玻尔提出了氢原子量子化模型。
图-17
单就电子运动能不能辐射电磁波而论,这个谬样提出时,其物理基础是不扎实的,因为电子只有在偶极子系统振动才会出现电磁波辐射,也就是说电子在运动中表现出某种周期加速与减速运动时才会形成交变的电磁场变化,而对于一个匀速圆周运动的电子,就不存在这种情况,因为圆周速度只有方向变化,却没有速率值变化,这就构不成像偶极子振动那样有速率变化的情况,也就是说,站在经典电磁理论角度看,作圆周运动的电子也不可能有电磁波辐射情况出现。
可能有人会说,直导线电流可以产生磁场,图-18所示,那不就是在发射电磁波吗?这是一种认识误区,因为电磁波描述的是交变电磁场运动,但这里所具有的电场(电子电场)与磁场(电流磁场)即没有交变性,也没有能量辐射性(假设金属导线无电阻),这怎么能被视作发射电磁波了呢?
图-18
至于电流导线为什么能够产生磁场问题,当时的经典电磁理论确实无法从物理机制上给予合理解释,但随着科学发展,这种现象就可以用量子力学中电子自旋磁矩问题给予很好地解释了,即电子自旋磁矩是电子的内禀性,如图-19所示;
图-19
图-20
它在运动中这种内禀性磁场也会随之对外界展现出来,也就是说单个电子匀速率运动是一种带有自身电场与磁场的运动,金属导线电流能够对外表现出磁场性正是电子自旋磁矩耦合的宏观磁场效应,如图-20所示,这种电场与磁场都是电子自身固有的物理属性,它们不不会对外产生辐射,否则电子也就不可能稳定存在了。
由此可见,从量子角度去反哺经典电磁学很有必要,这将会使圣经般的经典电磁学更丰满,更完善。
3.2、一维偶极振子振荡发射的电磁波方程
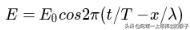
偶极子振荡之所以能够发射电磁波,是由于它是开式LC振动的简化版,这种振动所发射的电磁波是以v速沿着球体矢径r方向传播的,由于电场E与磁场H相互垂直,且E和H的振动方向都与电磁波传播方向垂直,且E和H的振动相位相同,即它们在空间传播中,E和H是同步增大或减小的,因此,电磁波的运动方程常以E和H二个平面波方程的形式给出,即
由此描绘出电磁波传播图形如图-15所示。
不过,这里要注意:LC振动只能发射无线电波,红外线、可见光、紫外线都是由炽热物体、气体放电或其他光源激发分子或原子等微观客体所产生的电磁辐射,x射线是用高速电子流轰击原子中的内层电子而产生的电磁辐射,γ射线是由放射性原子衰变时发出的电磁辐射或用高能粒子与原子核碰撞所产生的电磁辐射;我们之所以要强调这一点,是因为这些超短波辐射都可以用偶极振子模型给予描述的,并且这种描述是量子力学建立之根。

加载中…