罗教明,一位“黑路”独行侠
标签:
转载 |
分类: 进展•观点 |
罗教明,一位“黑路”独行侠
http://image.sciencenet.cn/home/201912/03/111928isqmzooaq11f0o1o.jpg
(谨以此文送别远行的罗教明博友)
【罗教授去世前一直心心念念着他的学术论文希望有一天能得到世界认可,如果真有那么一天,希望圈子里的任何一位朋友能告知一声,让他牙牙学语的宝宝知道爸爸的骄傲,为谢!】。这是罗教明教授的妻子用罗教授的科学网博客账号发表的《至所有关注我的朋友们》的最后一段话,读起来让人倍感唏嘘!
每一代人的青春无不打上时代的烙印,1978年“科学的春天”成长了一代热爱科学的年轻人,他们崇拜的偶像不是歌星影星、马云姚明,而是其貌不扬、傻里傻气的陈景润。精神偶像可以改变一代青年的人生方向,学好数理化、上大学、当科学家, 成为他们最高的理想追求。
时间可以改变一切,站在人生的另一个十字路口,有人选择了从政“红路”、有人选择了经商“黄路”、有人选择了学术“黑路”,也有人在几条路之间不停穿越,少数成为能同时脚踩几条路的人生赢家。走黑路的,绝大部分人会选择走前人走过的路,他们全盘接受西方科学思想成为西方科学信徒,少数特立独行的会选择走前人没走过的路,成为不被科学共同体欢迎的科学叛徒,罗教明博主算其中一位吧。
在科学实践中,最初的真理并不掌握在多数人手中,因为革命性的原始创新是那些黑路独行侠的专利。重大创新不是坐十年冷板凳这么简单,它需要一条黑路走到底的勇气,走没人走过的黑路,意味着选择孤独,一人独行才知道黑有多黑,他们中,有人像罗教明一样在黑路中突然倒下,更多的无声无息地消失在漫漫黑路中。
走黑路上黑名单是学术界一个不争的事实,独行侠的痛苦不在黑暗中探索的艰辛,而是新思想不被共同体所认可接受、甚至无情打压的精神折磨,也就是原创性工作发表难的问题。罗教授在人生的最后一刻仍牵挂着他的工作,我无法预言他的学术论文是否有被世界认可的那一天,但以我对物理学粗浅的认识,可以告知罗夫人一声:罗教授对自然世界的思考是有科学意义的。
从本科、硕士、博士到博士后,罗教明幸运地接受了完整的基础教育和科研训练,在一年只生产几百个博士后的年代,万里挑一的他为什么会选择当“科学叛徒”?罗教授2010年1月12日开始在科学网写博文,2018年6月5日发表了最后一篇博文《牛顿先生:薛定谔养了只什么猫?》,前后九年共发表308篇博文。罗教明博主曾毫不掩饰地吐露心声,他写博文就是为了质疑量子论和相对论,他相信量子现象可以在牛顿经典物理的决定性框架下获得完美诠释,这在许多人看来无疑是“自砸饭碗”的疯子行为。人类早已进入量子信息时代,罗教授仍迷恋牛顿经典物理,是开历史倒车吗? 作为同道之人,下面我将以众人皆知的科学例子,用文科生都能看懂的科学语言论述为什么物理学必须回归经典决定论。
*************************************************************
一、细节决定成败,视角决定对错
http://image.sciencenet.cn/home/201912/03/112129atk3jp33nidjizni.jpg
细节决定成败,是一种哲理也是一种态度,对任何事物不要轻易下定论,不妨换个角度看看、换个位置想想。上图是一张真实的照片,天空、土壤、树木、石头,一切都是真的。问题:树上为什么会长出大石头?石头为什么能悬空没有落地?。。。为了解决“石头悬空之谜”,必然要假设魔力的存在以抵抗地球引力,各种魔力理论和脑洞故事就会产生,成千上万的SCI文章将被炮制。
http://image.sciencenet.cn/home/201912/03/112339wf5e5a5xllvwaf55.jpg
当然,细心的读者应该能一眼识破这是“假像”,上下翻转一下图片(见上图),不难看出,这是一张没有任何悬念的平常照片。举这个例子,是想说明科研视角的重要性,特别是权威的视角一旦错了,不仅容易把简单问题复杂化、甚至导致一场万劫不复的科学灾难,很多人没有意识到物理学正经历着这样的不幸,创新思想被扼杀,大量的人力物力在歧途中被无情吞噬。
二、别闹了费曼先生,物理学闹鬼了
http://image.sciencenet.cn/home/201912/07/091116tfmix7zunqzuxl2j.jpg
单缝衍射、双缝干涉是众人皆知的著名实验,被费曼等大师认定其中包含了量子力学的终极神秘!百度输入“双缝干涉实验”,会出现“诡异、灵异、神秘、不可思议、毛骨悚然,超级恐怖...”等标签,一个已有200多年历史的简单中学物理实验,为什么令人谈之色变?是见鬼了吗?随便翻翻任何一本SCI物理杂志,扑面而来的是量子擦除、延迟选择等字眼,曾经的多世界、光子(电子)与自己干涉的故事已经out了,现代双缝干涉实验告诉人们:光子(电子)是具备超越人类智慧的小神仙,它们可以窥见人类的内心世界!
光子被认为具有“波粒二象性”,是“波”还是“粒子”?要根据人类与光子的博弈结果。当人类不理睬光子,它就表现出波动性,干涉条纹出现;当人类关注光子,它却表现出粒子性,干涉条纹消失,是不是够邪乎的?实验还发现光子具有特异功能,它们不仅有现在知道未来的预判能力,还具备现在改变过去的超凡功力,即,处于“波状态”的光子一旦发现遥远的地方有人想偷窥(测量),它能瞬间变成“粒子状态”,更厉害的是,当它发现有人类不怀好意,还能把曾经处于波状态的自己变成粒子状态,而且这个过程不需要任何时间!根据这些研究,在类似捉迷藏游戏中,光子可以随心所欲地调戏人类。这样的重大发现在NS上层出不穷,很多文章的单篇SCI引用数已上万,各位可以想象一下火爆程度。
关于单缝衍射,有经典解释还有量子解释,量子解释还有N多种不同流派的解释,反正公说公有理婆说婆有理。刘全慧教授曾专门写博文《单缝衍射作为一个量子力学硬核问题至今无解》进行讨论,并下结论:它很像哥德巴赫猜想,是一个至今没有解决的科学难题!
现代物理学就是这样一个怪状,对眼前时时刻刻、实实在在发生的现象(干涉、衍射)说不清道不明,搞得云里雾里、神神秘秘,而对看不见摸不着的几百亿光年的遥远未知世界(黑洞),却说得头头是道、真真切切。各位请认真反思一下,我们是不是在某个起点也犯了选择视角的错误?
三、惠更斯—菲涅尔造鬼
http://image.sciencenet.cn/home/201912/07/135450be2oh4e447ddco4c.jpg
关于光,有两条基本定律,1、光的直线传播定律:在各向同性的均匀介质中,光是沿着直线方向传播的;2、光的独立传播定律:不同光源发出的光在空间某点相遇时,彼此互不影响,独立传播。第一条表明光子是个惯性粒子,第二条表明光子没有几何大小,这两条定律的重要性不言而喻,可以说,没有它们永恒的保证,我们是看不见眼中的世界。
惠更斯-菲涅耳原理被认为是解释光的传播规律的基本原理,是研究衍射现象的理论基础。如上图所示,该原理把光波的传播归结为波前的传播,波前上的每个点都可看成是发射子波的新波源(子光源),。。。必须指出,这是一个拍脑袋想当然的低级错误,它显然违背了上述光的两条基本定理,如果子光源假设成立,意味着光子在均匀介质传播过程,在无相互作用下会自动大角度拐弯(如图红色所示,鬼就出在这!),下面请出牛顿先生共同探讨这个问题。
四、牛顿捉鬼记
牛顿物理思想的核心是相互作用(力或相互作用过程的能量交换),在牛顿物理框架下,任何物理现象都有隐藏在其背后的原因(物理机制),简单说,牛顿理论可以回答为什么。
http://image.sciencenet.cn/home/201912/07/135625tu5zk0uzz0zoku5m.jpg
以单缝实验为例,如图(a)所示,中外教科书都是这么说的,在宽狭缝的情况下,光子保持直线传播,它们到达屏幕后不会形成衍射条纹;如图(b),当光子“发现”狭缝变窄了(疑问:光子是如何知道前方是否有狭缝?如何判断前面的狭缝是宽还是窄?),它们就“自动”转弯了(质疑:在无外界相互作用情况下,光子怎么会转弯?),这时条纹奇迹般地出现在屏幕上(疑问:条纹怎么形成的?虽然问也白问,诺奖大师都坦言没人懂)。
令人不可思议的是,这种没人懂、不能问、不确定的所谓解释竟然存活了一个多世纪,成为真理般的科学理论和知识写入教科书。假如牛顿先生复活,我猜他会这样思考问题[如图(c)所示]:如果光子没有与狭缝边缘发生碰撞(相互作用),光子将始终作直线传播(图中的透射光,其实就是菲涅尔认为会自动拐弯的那部分光),它们的传播与狭缝宽窄、是否存在无关。与狭缝真正有关联的是被上下两条边缘反射(散射)的光(为方便讨论,狭缝边缘可以视为“子光源”),这两部分光会发生偏转并在屏幕上进行线性叠加。很显然,在牛顿相互作用思想框架中,光子条纹是由狭缝边缘散射光的贡献,与透射光(菲涅尔中的衍射光)无关。十几年前,本人就斩钉截铁地喊出这个结论,并通过设计黑水实验和阴阳板实验成功进行验证,遗憾不为主流学术界所关注。
比较一下图(b)的菲涅尔思想和图(c)的牛顿思想,各位应该清楚什么是物理学的确定性(确定的原因、确定的结果),可以说,确定性是确保物理学不成巫理学的唯一保证。有读者可能会立即提问:1、为什么狭缝必须足够窄才能出现光图样?2、上下两部分的散射光是如何形成条纹?
第一个问题很简单,产生条纹的散射光与不产生条纹的透射光两者是竞争关系,狭缝太宽时,作为背景的透射光就会把散射光形成的条纹掩盖掉,减小狭缝宽度,可以抑制和减低背景透射光的影响,条纹就自然出现了。对于第二个问题,最关键就是回答“爱因斯坦之问”:光量子到底是啥东西?
五、爱因斯坦的疑问与玻尔的暗示
http://image.sciencenet.cn/home/201912/14/083918jppvz55d8osdd1xk.jpg
光子这个概念源于普朗克的研究发现,后经爱因斯坦、康普顿等人的工作渐渐为共同体所接受。小到没有体积的光子却集各种神奇于一身,光速、波长、频率、线偏振、圆偏振、自旋、轨道角动量、反射、折射、干涉、衍射、波粒二像性等等等等,可以说,自然界所有现象都与光有关,可我们对它的了解仍处于“盲人摸象”的阶段。1951年,爱因斯坦在给他的好友的信中描述了当时的现状:整整五十年的认真思考,没有使我更接近于解答“光量子是什么”这个问题。的确,现在每个人都相信他已经懂得它,其实他是在欺骗自己。
http://image.sciencenet.cn/home/201912/08/135014ia4aaja98aw86m64.jpg
差不多七十年又过去了,我们比爱因斯坦时代更懂光子了吗?答案是否定的,他们不仅欺骗自己还欺骗他人。关于光的本性,我前前后后也认认真真地思考了二十年,最困惑我的是光量子的“波粒二像性”。
当有一天,我无意中看到上面这张奇怪的图案(后来知道,丹麦政府为表彰玻尔在物理方面的卓越贡献,破格封他为“骑象勋爵”,这是他的爵士纹章),突然有梦里寻它千百度的感觉,似乎有一种声音在告诉我:光子的所有秘密都隐藏在勋章之中, 古老东方哲学思想与现代西方科学理论相结合,才能真正破解“波粒二像性”这个百年世界难题。
六、普朗克量子论的缺陷与新量子论的诞生
http://image.sciencenet.cn/home/201912/12/155808sd8cjje8uqui1he9.jpg
普朗克的量子论是伟大的,但它并不完备,因为它是光子单能量(E=hν)的假设(如上图a所示),它天生不具备光波动性所要求的波长等特性(左下图),要解释光子的“波粒二象性”,首先必须对普朗克量子论进行修正!
学过物理的应该都知道,任何与周期波动(振动)有关的物理系统(弹簧振子、LC电路、单摆等等),它们无一例外都遵从双能量周期交换,且满足普适的能量关系:Ek=E0cos2(ωt+φ0),Ep=E0sin2(ωt+φ0),总能量E=Ek+Ep=E0(常数)。如上图(b),一个超越普朗克的创新想法:具有波动性的光子是双能量(磁场能量与电场能量)阴阳粒子,它们满足太极阴阳互补转换的关系(其本质就是现代物理学的能量转换与守恒)。从右下图不难看出,双能量交换光子具有内秉的波长(太极光子的能量完成一次阴阳转换o-o’)等波动性质,而单能量的普朗克理论是不具备的。从0到1,普朗克跨出了革命性的一步,他的一小步、人类的一大步,从1到2,我也跨出了一小步,这一小步会不会是人类的又一大步?时间一定会给出答案。
这里必须强调两点:1、新旧量子论并非水火不相容,新量子论是旧量子论的升级版,它向下兼容普朗克的旧量子论,旧理论的“粒子性”是新理论“二象性”的近似描述。2、提到“波”,大家很自然就会联想到正弦、余弦图像,都默认“波”肯定有宽度(振幅)和长度(波长),这是非常错误的机械观点。请重新看一眼上图右下,太极光子在传播的任何时刻、任何位置始终是一个总能量E0不变的粒子,但是,它的内秉电场能量(隐变量)在不同时空是变化相干(相关)的,我把这种波定义为隐形相位波,它由能量守恒与转换定律作为基础。请记住,一切周期波行为一定是两种不同性质能量的矛盾统一体。
七、什么是暗能量?
http://image.sciencenet.cn/home/201912/09/125903hxxlroxd7nil77l8.jpg
很多人听到隐能量或暗能量,都觉得神秘不可思议,到底什么是暗能量?说穿了就是一个初中物理概念的时髦包装。如上图,我举一个大家熟知的单摆作为例子,假设各位没有任何物理知识储备,让我们做个简单实验。各位准备几张薄铁皮,在单摆运动过程把它们一次一片地插入在不同位置(ABCDEFG...,),根据不同位置的撞击结果(如图下),可以得到单摆在不同位置的动能以及它们之间的关系,但是,我们是无法通过实验测量势能的,势能实际上是根据能量守恒定律猜出来的,我们还猜测它隐藏在重力场中,所以重力势能就是一种暗能量。
光子的情况也非常类似,不管是眼睛的视网膜、显示屏、感光胶片,只有光子的动能(电场亮能量)部分才能被捕捉记录下来,而它的势能(磁场暗能量)却隐藏在“宇宙场”中,也许我们永远无法看到它的庐山真面目,但光子的“波粒二像性”间接地告诉我们,它实实在在地存在着。
http://image.sciencenet.cn/home/201912/15/064538j98z2mzbxfs5se5m.jpg
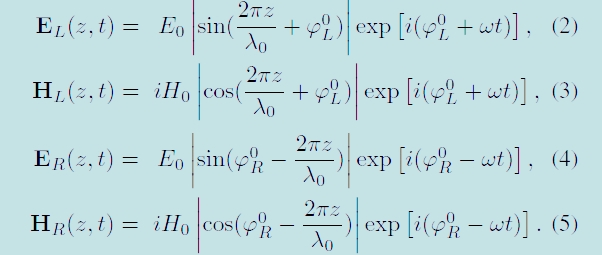
有了对“波粒二像性”双能量本质的再认识,结合麦克斯韦方程、能量守恒和光子的手性,我们建立起全新的描述光子波动的解析式(如上),它们可以解释偏振、衍射、干涉等几乎所有光现象,这里将略去方程建立的复杂过程,直接解释物理学界公认未解的单缝衍射难题。
八、小试牛刀破解世界难题
http://image.sciencenet.cn/home/201912/14/103241muue655e6bbb66mu.jpg
几百年来,无论是中学大学教科书还是高大上的SCI论文,单缝衍射花样一直被解释为穿过狭缝的光子自动偏转(衍射)后形成的,如上图,明暗条纹的位置根据菲涅耳半波带法确定:偶数倍对应暗条纹,奇数倍对应明条纹。前面我们已经指出菲涅尔法是错误的,明暗条纹的形成必须寻找新的解释。
http://image.sciencenet.cn/home/201912/14/083545xf9eaiz9oz0vec00.jpg
根据我们的研究,如上图到达屏幕的光子由三部分组成:散射光I(S1)、I(S2)和透射光I(T),I(S1)和I(S2)叠加产生了周期性的明暗条纹,I(T)只是对中央条纹附近产生影响。
明暗条纹中心位置是如何确定?当 I(S1)和 I(S2)的光子到达屏幕同一位置,且同时达到亮能量(电场能量)极大,则对应明条纹中心(P),如果是同时达到暗能量(磁场能量)极大就是暗条纹中心(P'),不难看出,明暗条纹的周期为Λa=Lλ/a,且中心为暗条纹。在考虑透射光影响的情况下,由我们的光子方程可获得单缝衍射的标准图样(下图(a)),本来是暗条纹的中心,由于透射光I(T)的叠加导致中心条纹由暗转亮、且宽度加倍。我们利用光化学刻蚀技术在304不锈钢薄板上制备了样品,下图(b)是实验结果,理论和实验两者完美一致。
http://image.sciencenet.cn/home/201912/13/003036d3wzcitogcclg5g5.jpg
有朋友可能会关心双缝干涉问题,众所周知,单缝衍射与双缝干涉一直被当成两种完全不同的物理现象来研究。在我们的理论框架下,双缝只是单缝的平凡推广,单缝的两条边变成双缝的四条边而已,相应地,明暗条纹由单周期(Λa=Lλ/a)的变成双周期[Λa=Lλ/a和Λa+b=Lλ/(a+b)]。当然,我以为最值得一提的是,我们的理论是单光子电场能量的空间和时间的累积叠加,也就是说,即使一次发射一个光子,长时间累积也能观测到明暗条纹,这可以解释著名的单光子、单电子实验。
九、几句牢骚
http://image.sciencenet.cn/home/201912/13/082128n3e84qeo9t9ty2zz.jpg
如果我说左图上下两个方块的颜色相同,估计要被人骂瞎了眼,如果我把中间高光部分遮住(右图)呢?获取真相看似非常容易其实很难,因为假相、欺骗无处不在。
人可以通过意识操纵微观世界,无生命的微观光子能够识破人类的阴谋企图,当这些都被科学实验“验证”时,我真的开始怀疑人生。
二十多年黑路的摸索,我纠正了衍射、干涉效应的物理机制的错误,弥补了普朗克量子论的缺陷,揭示了“波粒二象性”的神秘面纱,改造麦克斯韦方程为可以描述波粒二像性的光子方程,回答了“爱因斯坦之问”...。光子的本性问题终于解决了,当我兴冲冲地试图把自己的发现分享给同行,告诉他们那些曾经的神话都是骗人的,却自讨没趣地换来高傲的嘲讽和冰冷的拒绝,愤怒中,我随手把它丢弃在网络的某个角落,不想再对牛弹琴。
罗教明教授的英年早逝深深地触痛了我,因为我懂挑战西方错误科学思想的后果与代价,我们不仅要遭遇西方同行的歧视,还要时刻直面自己同胞的各种鄙视。中国人对现代科学的“零贡献”,彻底摧垮了国人的创新自信心,带着有色眼镜的外国人不相信中国人能产生超越西方的科学思想,自我歧视的国人更不信。整个科学界弥漫着“两个凡是”(凡是有违西方科学思想的都是伪科学、凡是质疑西方科学的都是民科)的雾霾,刚刚冒出来的原创思想的火花,即刻被四面八方飞溅而来的唾沫所浇灭,“民科!疯子!异想天开!懂物理吗?会玩科学吗?”。。。
普朗克曾说过:新理论战胜旧理论,不是因为信奉旧理论的人改变了立场,而是因为他们都死光了。同行永远是革命性创新的死敌,人家舞拳弄棒几十年,你突然拔枪要废了他们,能同意吗?
几十年过去了,我们SCI有了、NS也有了,真正的原始创新仍然没有。有人建议要“破四唯”,也有人建议文章发在中文期刊,这些无疑是病急乱投医、治标不治本。不突破“两个凡是”的束缚,中国原创永无突破的日子。
写这篇文章是想告诉有识之士,我们已经不缺SCI、NS,其实我们也不缺创新思想,唯缺的是让原创思想茁壮成长的土壤。写这篇文章还想告诉那些全面否定、矮化祖先的国人,我们的先哲曾创造过超越西方的科学哲学思想,其中的精华至今依然有指导意义。
终将有一天,我也会像罗教明教授一样默默地离开,罗教授没能等到“黑路”上的曙光,我希望能等到那一刻。
http://blog.sciencenet.cn/blog-480705-1208603.html

加载中…