打点计时器纸带——求瞬时速度、加速度
标签:
京睿教育学习方法物理高中 |
分类: 学习方法 |
识记知识点:
1、打点计时器频率、周期:f=50Hz,
2、电磁打点计时器与电火花计时器区别:
电磁打点计时器(4-6V低压交流电源)、电火花计时器(220V交流电源)
3、点迹密集的地方表示纸带运动的速度小,点迹稀疏的地方表示速度大
4、若点与点之间的距离相等,就可判断物体做匀速运动,若点与点间距越来越大,则物体做加速运动,反之做减速运动。
5、初速无论是否为零,只要是匀变速直线运动的质点,就具有下面两个很重要的特点:
(1)在连续相邻相等时间间隔内的位移之差为一常数;Dx= aT2(判断物体是否作匀变速运动的依据)。
题型总结:
右图为打点计时器打下的纸带。选点迹清楚的一条,舍掉开始比较密集的点迹,从便于测量的地方取一个开始点0,然后每5个点取一个计数点1、2、3、4
利用纸带可以求:
-
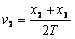
任一计数点对应的瞬时速度v2:如https://mmbiz.qlogo.cn/mmbiz/AZFY5gkgmLjEuGNVWfaJ8l7E8oAnuXZlQLSibciaEfG4WK1C9J5fib67MbMnnEiaiaWoib6h6XbkpVvDEDG456jmE1lg/0(其中记数周期:T=5×0.02s=0.1s)
-
(1)利用“逐差法”求a:
(2)利用v-t图象求a:求出1、2、3、4、5、6各点的即时速度,画出如图的v-t图线,图线的斜率就是加速度a。
注意事项:
1.注意单位,x的单位是cm,注意换算成m
2.注意时间间隔,看清是每两点周期是0.02s还是0.1s,(当然也可能存在奇葩情况)
3.注意距离是每相邻两点的距离,还是每点到第一点的距离。
题目讲解:
【例题】 某学生用打点计时器研究小车的匀变速直线运动.他将打点计时器接到频率为50 Hz的交流电源上,实验时得到一条纸带如图所示。他在纸带上便于测量的地方选取第一个计数点,在这点下标明A,第六个点下标明B,第十一个点下标明C,第十六个点下标明D,第二十一个点下标明E.测量时发现B点已模糊不清,于是他测得AC长为14.56 cm,CD长为11.15 cm,DE长为13.73 cm,则(保留三位有效数字)
咨询热线:010—56292906 (鲍老师)

加载中…