标签:
杂谈 |
考研高数中二重积分的重要性,大家都明白,就不用再多说了。历年考研数学的真题小题、大题形式都出现过。考研数学中二重积分的考点总结起来有:直角坐标、极坐标、对称性、交换积分次序。下面,我们通过计算几道例题,来进一步向同学们解释。
http://www.wendu.com/uploadfile/2016/0701/20160701090336690.png
本题考的是二重积分的极坐标算法。难点在于r的上下限怎么确定,这对于很多17考研刚刚复习到这里的同学来说,比较容易搞晕。其实,同学们就记住一点:r的范围确定,一般情况下,是由角度确定的。从原点向外做射线,和被积区域交于的两点所在的图形,就是边界。我们只需要把x,y的极坐标代入边界方程中,解出来r即可。
http://www.wendu.com/uploadfile/2016/0701/20160701090355759.png
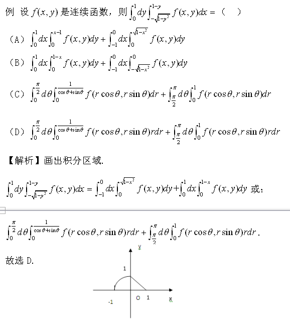
本题考的是二重积分的极坐标运算和积分次序的交换。交换积分次序,我们也是首先根据题目给的积分区间,把图像化出来,这个是难点。
http://www.wendu.com/uploadfile/2016/0701/20160701090415492.png
本题考查二重积分的对称性,如果同学们熟练掌握此点,做题会事半功倍。对称性有三种情况,每种情况注意,一定要看两方面:被积函数和积分区间。如果被积函数是关于x的奇函数,被积区域是关于Y轴对称,那么二重积分等于零;如果被积函数是x的偶函数,被积区域是关于y轴对称,那么二重积分等于二倍的只积第一象限的部分。具体的对称性内容,同学们可以参考复习资料。
http://www.wendu.com/uploadfile/2016/0701/20160701090437651.png
在做题中,尽量多思考,方法多试试,这对于考研数学复习是很有好处的。看到二重积分的题目,我们首先应该想到,可以先用一下对称性,如果对称性不能用,那么可以把极坐标和直角坐标两种计算方法,都试一下,看一下哪种比较简便。

加载中…