【李生论金】3月13日 黄金上行动能衰竭 关注今日美联储会议(周二)『原创』
标签:
财经美国微软雅黑h4布林带 |
【李生论金】每天博客准点行情直播中!按“F5”键准点刷新查看,持续更新中.....
http://img.cnfol.com/upload/images/67/4e/5532461/201203130901182624.jpg黄金上行动能衰竭
时区:1H
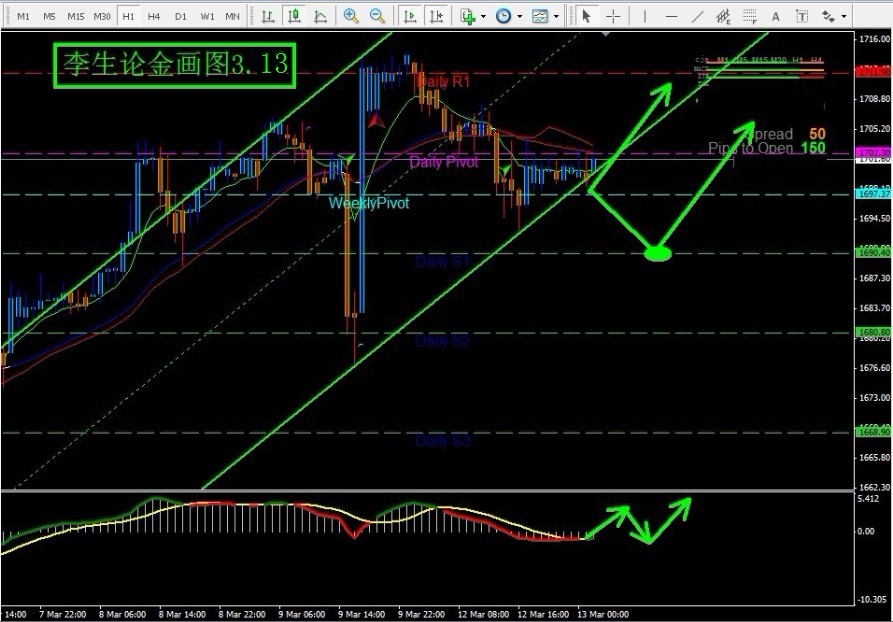
小区间:1697—1712
大区间:1690—1722
操作思路:震荡向上,1697—1622区间高估低渣
日评:今日金价开盘1700,昨天黄金自开盘以来震荡向下最低触及日线5日均线位置,1小时自1676至1714回踩0.618的位置得到有效支撑,主要因美元走强,且期货市场基金大规模减仓打压市场人气,金价丧失上行动能,周一(3月12日)再度转向下跌。本交易日投资者密切关注周二美国联邦公开市场委员会的政策声明,该委员会在良好的美国就业报告出炉后可能将讨论进一步刺激经济的必要性。昨日金价自开盘高走到1716.30受阻后一路下滑最低见到1692.50受到支撑收盘于1701附近。日线收取带下影线的小阴。从日线布林带及均线组合来看,目前上方的阻力位于布林带中轨和30日均线交叉位置1728附近,下方的重要支撑依然维持在1688-1692这一带。目前附图指标MACD维持死叉运行,但是卖盘能量有所缩减,RSI三线维持震荡运行状态,Stoch指标逃出超卖区域,向多头发展。目前将是金价上行的主要阻力,但是前期由于日线布林带中轨并没有被价格拉下来,从1小时图来看,MACD在0轴形成金叉,亚盘今日有一定反弹趋势,上方压力位继续看昨日日评中提及的1小时270日均线压力位置,今日操作思路依然是逢低做多,重要压力位做空为主。具体建议李生将在博中与群中即时播报!
参考建议:
#1:亚盘1700—1701做多,止损1697.目标1707—16712
#2:第一次触及1717—1718做空,止损1721.目标5—8美金
(具体建议以博中直播及VIP群即时通知为准)
(【李生论金】日评每日9:30分准时更新,群内喊单同时也会即时上传,供大家参考交流,喊单#1 #2 #3标明,进出场点位明确,赢亏每天统计,不存在马后炮,欢迎收藏本博客按固定时间刷新访问)
10:30策略更新-----今天亚盘维持震荡格局,上方参考压力位1712,下方支撑1697,亚盘先在此区间操作,破位再顺势跟进。早间有在1700—1701做的多单可按参考建议#1操作。16:00策略更新-----欧盘暂时先保持观望,亚盘行情的震荡目前没有明确的方向性,上方突破1705再考虑回踩做多,下方破1695反弹再空。
18:30策略更新-----欧盘开盘后金价开始下挫,破1700后下方支撑1690—1688一线,在此位置可以考虑测试多单,止损放在1685,VIP群已在1698做空,现已在获利中……
21:00策略更新----- 美盘开盘后受数据影响,美元直接破前期高点80.13,VIP群在1698的空单成功止赢8美金,晚上反弹1691—1692做空,止损1695.目标1682—1680,下方重点关注1680支撑日线60日均线位置,若此位破位反弹做空。
23:00策略更新-----晚间突破1692后今天的下跌就会结束,走入反弹及震荡向上走势,若再破1683等待1677—1678做多,VIP群在1686进场多单,获利5美金减半仓设成本价,目标先看1696,今晚大的反弹有一定难度,但下方空间最多看至1677一线。大家现在手里没单的可等待突破1692回踩1690做多,损1685,目标1696—1700。
----------------------------------------------------------------------------
(李生论金每日操作建议将在喊单后将会在博客规定时间分析行情时上传至下方,用不于喊单赢亏统计,不管赚与亏,我们都会如实公布,让您体验的放心,合作的开心)
http://img.cnfol.com/upload/images/67/4e/5532461/201203130430403672.jpg黄金上行动能衰竭
加载中…