加载中…
个人资料
  • 博客等级:
  • 博客积分:
  • 博客访问:
  • 关注人气:
  • 获赠金笔:0支
  • 赠出金笔:0支
  • 荣誉徽章:
正文 字体大小:

16年《建设工程项目管理》答案及解析

(2017-03-20 20:27:06)
分类: 《项目管理》
一、单项选择题(共70题,每题1分。每题的备选项中,只有1个最符合题意)
1.应用曲线法进行施工成本偏差分析时,已完工作实际成本曲线与已完工作预算成本曲线的竖向距离表示项目进展的( )。
A.进度累计偏差
B.进度局部偏差
C.成本累计偏差
D.成本局部偏差
【标准答案-建设工程教育网】C
【建设工程教育网-名师解析】本题考查的是偏差分析的表达方法。CV=BCWP-ACWP,由于两项工作均以已完工作为计算基数,所以两者之差反映的是项目进展的费用偏差。累计成本偏差是指已完工程在某一时间点上实际总成本与相应的计划总成本的差异。在曲线法中,检测的某一时间点上两者的竖向差值体现为成本累计偏差。参见教材P104。
 
2.关于施工现场职业健康安全卫生要求的说法,错误的是( )。
A.生活区可以设置敞开式垃圾容器
B.施工现场宿舍严禁使用通铺
C.施工现场水冲式厕所地面必须硬化
D.现场食堂必须设置独立制作间
【标准答案-建设工程教育网】A
【建设工程教育网-名师解析】本题考查的是施工现场职业健康安全卫生的要求。办公区和生活区应设密闭式垃圾容器,所以选项A错误;施工现场宿舍严禁使用通铺,所以选项B正确;施工现场应设置水冲式或移动式厕所,厕所地面应硬化,所以选项C正确;食堂应设置独立的制作间、储藏间,所以选项D正确。参见教材P264~265。
 
3.某工程因发包人原因造成承包人自有施工机械窝工10天,该机械市场租赁费为1200/天,进出厂费2000元,台班费400元/台班,其中台班折旧费160/台班;计划每天工作1台班,共使用40天,则承包人索赔成立的费用是( )元。
A.4000
B.1600
C.12000
D.12500
【标准答案-建设工程教育网】B
【建设工程教育网-名师解析】本题考查的是索赔费用的组成。承包人自有设备,一般按台班折旧费计算,而不能按台班费计算,所以索赔成立的费用是160×10=1600元。参见教材P341。
 
4.下列施工生产要素的质量控制内容中,属于工艺方案质量控制的是( )。
A.施工企业坚持执业资格注册制度和作业人员持证上岗制度
B.施工企业在施工过程中优先采用节能低碳的新型建筑材料和设备
C.施工企业对施工中使用的模具、脚手架等施工设备进行专项设计
D.施工企业合理布置施工总平面图和各阶段施工平面图
【标准答案-建设工程教育网】D
【建设工程教育网-名师解析】本题考查的是施工生产要素的质量控制。对施工工艺方案的质量控制主要包括以下内容:深入正确地分析工程特征、技术关键及环境条件等资料,明确质量目标、验收标准、控制的重点和难点;制定合理有效的有针对性的施工技术方案和组织方案,前者包括施工工艺、施工方法,后者包括施工区段划分、施工流向及劳动组织等;合理选用施工机械设备和设置施工临时设施,合理布置施工总平面图和各阶段施工平面图;选用和设计保证质量和安全的模具、脚手架等施工设备;编制工程所采用的新材料、新技术、新工艺的专项技术方案和质量管理方案;针对工程具体情况,分析气象、地质等环境因素对施工的影响,制定应对措施。选项A属于施工人员的质量控制内容;选项B属于材料设备质量控制内容;选项C属于施工机械的质量控制。参见教材P185。
 
5.关于设计阶段项目管理的说法,错误的是( )。
A.设计阶段的项目管理是建设工程项目管理的一个非常重要的组成部分
B.由于设计费占建设总投资的比例小,业主方可以忽略对其进行管理
C.设计的质量直接影响项目实施的投资、进度和质量
D.设计的进度直接影响工程的进展
【标准答案-建设工程教育网】B
【建设工程教育网-名师解析】本题考查的是项目管理规划的内容。由于设计费仅占建设总投资很小的比率,业主方往往忽视对设计过程的管理,这是项目管理的一个误区。应指出,设计阶段的项目管理是建设工程项目管理的一个非常重要的部分,设计的质量直接影响项目实施的投资(或成本)、进度和质量;设计的进度也直接影响工程的进展。参见教材P50。
 
6.下列施工成本分析方法中,可以用来分析各种因素对成本影响程度的是( )。
A.连环置换法
B.相关比率法
C.比重分析法
D.动态比率法
【标准答案-建设工程教育网】A
【建设工程教育网-名师解析】本题考查的是施工成本分析的基本方法。因素分析法又称连环置换法,可用来分析各种因素对成本的影响程度。参见教材P112。
 
7.下列施工现场防止噪声污染的措施中,最根本的措施是( )。
A.接收者防护
B.传播途径控制
C.严格控制作业时间
D.声源上降低噪声
【标准答案-建设工程教育网】D
【建设工程教育网-名师解析】本题考查的是建设工程施工现场环境保护的措施。声源上降低噪声,这是防止噪声污染的最根本的措施。参见教材P262。
 
8.关于主体结构工程现场质量检测的说法,正确的是( )。
A.按照统计方法评定混凝土强度时,同一强度等级试件的留置数量不宜少于10组。按非统计方法评定时,留置数量不宜少于3组
B.砌体工程中,普通砖5万块,多孔砖10万块各为一检验批,抽检数量为1组
C.对梁板类构件,应抽取构件数量的1%且不少于5个构件进行钢筋保护层厚度检测
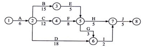
D.混凝土预制构件结构性能检测应按同一工艺生产的不超过100件且不超过3个月的同类产品为一检验批
【标准答案-建设工程教育网】A
【建设工程教育网-名师解析】本题考查的是施工过程的质量控制。选项B,砌体:普通砖15万块、多孔砖5万块、灰砂砖及粉煤灰砖10万块各为一检验批,抽检数量为一组;选项C,对梁板类构件,应抽取构件数量的2%且不少于5个构件进行钢筋保护层厚度检测;选项D,混凝土预制构件结构性能检测应按同一工艺生产的不超过1000件且不超过3个月的同类产品为一检验批。参见教材P189。
 
9.建设工程项目进度控制的过程包括:①收集资料和调查研究;②进度计划的跟踪检查;③编制进度计划;④根据进度偏差情况纠偏或调整进度计划,其正确的工作步骤是( )。
A.①-③-②-④
B.①-②-③-④
C.①-③-④-②
D.③-①-②-④
【标准答案-建设工程教育网】A
【建设工程教育网-名师解析】本题考查的是建设工程项目进度控制。建设工程项目是在动态条件下实施的,因此进度控制也就必须是一个动态的管理过程。它包括:(1)进度目标的分析和论证,其目的是论证进度目标是否合理,进度目标有否可能实现。如果经过科学的论证,目标不可能实现,则必须调整目标;(2)在收集资料和调查研究的基础上编制进度计划;(3)进度计划的跟踪检查与调整,它包括定期跟踪检查所编制进度计划的执行情况,若其执行有偏差,则采取纠偏措施,并视必要调整进度计划。参见教材P120。
 
10.某双代号网络计划中,假设计划工期等于计算工期,且工作M的开始节点和完成节点均为关键节点。关于工作M的说法,正确的是( )。
A.工作M是关键工作
B.工作M的自由时差为零
C.工作M的总时差等于自由时差
D.工作M的总时差大于自由时差
【标准答案-建设工程教育网】C
【建设工程教育网-名师解析】本题考查的是网络计划时间参数的计算。因为工作M的完成节点为关键节点,则该工作的紧后工作中必有一项是关键工作。如果该工作的完成节点是终点节点,那么其总时差就等于该工作的自由时差,就是时标网络图中波形线的长度。如果该工作的完成节点非终点节点,那么该工作的总时差等于其紧后工作的总时差与该工作自由时差的最小值。该工作紧后工作总时差的最小值是0,所以该工作的总时差等于自由时差。所以答案选C。参见教材P138。
11.某单代号网络计划如下图(时间单位:天),其计算工期为( )天。
http://www.jianshe99.com/upload/html/2016/11/02/li5097ebe3a6f8466790e5e4ccfaaa85b9.jpg
A.20
B.26
C.22
D.24
【标准答案-建设工程教育网】B
【建设工程教育网-名师解析】本题考查的是单代号网络计划的时间参数计算。网络图的关键线路为:A→C→G→H→FIN(或①→③→⑥→⑦→⑧)。总工期为26天。参见教材P143。
 
12.关于建设工程项目施工成本的说法,正确的是( )。
A.施工成本计划是对未来的成本水平和发展趋势作出估计
B.施工成本核算是通过实际成本与计划的对比,评定成本计划的完成情况
C.施工成本考核是通过成本的归集和分配,计算施工项目的实际成本
D.施工成本管理是通过采取措施,把成本控制在计划范围内,并最大程度的节约成本
【标准答案-建设工程教育网】D
【建设工程教育网-名师解析】本题考查的是施工成本管理的任务。施工成本预测是在工程施工前对成本进行的估算,它是根据成本信息和施工项目的具体情况,运用一定的专门方法,对未来的成本水平及其发展趋势作出科学的估计,所以选项A错误;施工成本考核是指在施工项目完成后,对施工项目成本形成中的各责任者,按施工项目成本目标责任制的有关规定,将成本的实际指标与计划、定额、预算进行对比和考核,评定施工项目成本计划的完成情况和各责任者的业绩,并以此给予相应的奖励和处罚,所以选项B错误;施工成本核算包括两个基本环节:一是按照规定的成本开支范围对施工费用进行归集和分配,计算出施工费用的实际发生额;二是根据成本核算对象,采用适当的方法,计算出该施工项目的总成本和单位成本,所以选项C错误;施工成本管理就是要在保证工期和质量满足要求的情况下,采取相应管理措施,包括组织措施、经济措施、技术措施、合同措施,把成本控制在计划范围内,并进一步寻求最大程度的成本节约。参见教材P78~79。
 
13.关于政府主管部门质量监督程序的说法,正确的是( )。
A.工程项目开工后,监督机构接受建设单位有关建设工程质量监督的申报手续,并对文件进行审查,合格后签发质量监督文件
B.监督机构检查内容中不包含企业的工程经营资质证书和人员的资格证书检查
C.监督机构要组织进行工程竣工验收并对发现的质量问题进行复查
D.监督机构在工程基础和主体结构分部工程质量验收前,要对基地基础和主体结构混凝土分别进行监督检测
【标准答案-建设工程教育网】D
【建设工程教育网-名师解析】本题考查的是政府对工程项目质量监督程序。工程项目开工前,监督机构接受建设单位有关建设工程质量监督的申报手续,并对建设单位提供的有关文件进行审查,审查合格签发有关质量监督文件,所以选项A错误;对工程质量责任主体和质量检测等单位的质量行为进行检查。检查内容包括:参与工程项目建设各方的质量保证体系建立和运行情况;企业的工程经营资质证书和相关人员的资格证书;按建设程序规定的开工前必须办理的各项建设行政手续是否齐全完备;施工组织设计、监理规划等文件及其审批手续和实际执行情况;执行相关法律法规和工程建设强制性标准的情况;工程质量检查记录等,所以选项B错误;竣工验收时建设单位组织,所以选项C错误;监督机构按计划在施工现场对建筑材料、设备和工程实体进行监督抽样,委托符合法定资质的检测单位进行检测。监督抽样检测的重点是涉及结构安全和重要使用功能的项目,例如,在工程基础和主体结构分部工程质量验收前,要对地基基础和主体结构混凝土强度分别进行监督检测,所以选项D正确。参见教材P213。
 
14.项目结构信息编码的依据是( )。
A.项目管理结构图
B.项目结构图
C.项目组织结构图
D.系统组织结构图
【标准答案-建设工程教育网】B
【建设工程教育网-名师解析】本题考查的是项目信息编码。项目的结构编码,依据项目结构图对项目结构的每一层的每一个组成部分进行编码。参见教材P356。
 
15.下列影响项目质量的环境因素中,属于管理环境因素的是( )。
A.项目现场施工组织系统
B.项目所在地建筑市场规范程度
C.项目所在地政府的工程质量监督
D.项目咨询公司的服务水平
【标准答案-建设工程教育网】A
【建设工程教育网-名师解析】本题考查的是项目质量的影响因素。管理环境因素主要是指项目参建单位的质量管理体系、质量管理制度和各参建单位之间的协调等因素。比如,参建单位的质量管理体系是否健全,运行是否有效,决定了该单位的质量管理能力;在项目施工中根据承发包的合同结构,理顺管理关系,建立统一的现场施工组织系统和质量管理的综合运行机制,确保工程项目质量保证体系处于良好的状态,创造良好的质量管理环境和氛围,则是施工顺利进行,提高施工质量的保证。选项BCD均为社会环境因素。参见教材P163。
 
16.某双代号网络计划中。工作M的最早开始时间和最迟开始时间分别为第12天和第15天,其持续时间为5天。工作M有3项紧后工作,它们的最早开始时间分别为第21天、第24天和第28天,则工作M的自由时差为( )天。
A.1
B.3
C.4
D.5
【标准答案-建设工程教育网】C
【建设工程教育网-名师解析】本题考查的是双代号网络计划时间参数的计算。自由时差,是指在不影响其紧后工作最早开始的前提下,可以利用的机动时间。M的最早完成时间为12+5=17天,而其紧后工作中的最早开始时间为21天,所以M的自由时差为21-17=4天。参见教材P138。
 
 
17.关于建设工程安全生产管理预警级别的说法,正确的是( )。
A.I级预警表示生产活动处于正常状态
B.Ⅳ级预警一般用蓝色表示
C.Ⅱ级预警表示处于事故的上升阶段
D.Ⅲ级预警表示受到事故的严重威胁
【标准答案-建设工程教育网】B
【建设工程教育网-名师解析】本题考查的是预警体系的建立。I级预警,表示安全状况特别严重,用红色表示;Ⅱ级预警,表示受到事故的严重威胁,用橙色表示;Ⅲ级预警,表示处于事故的上升阶段,用黄色表示;Ⅳ级预警,表示生产活动处于正常状态,用蓝色表示。参见教材P236。
 
18.关于工程项目质量风险识别的说法,正确的是( )。
A.从风险产生的原因分析,质量风险分为自然风险、施工风险、设计风险
B.可按风险责任单位和项目实施阶段分别进行风险识别
C.因项目实施人员自身技术水平局限造成错误的质量风险属于管理风险
D.风险识别的步骤是,分析每种风险的促发因素→画出质量风险结构层次图→将结果汇总成质量风险识别报告
【标准答案-建设工程教育网】B
【建设工程教育网-名师解析】本题考查的是质量风险识别。选项A,质量风险分为自然风险、技术风险、管理风险、环境风险;选项C,自身技术水平属于技术风险;选项D,风险识别步骤:画出质量风险结构层次图→分析每种风险的促发因素→将结果汇总成质量风险识别报告。参见教材P163~165。
 
19.根据动态控制原理,项目目标动态控制的第一步工作是( )。
A.调整项目目标
B.分解项目目标
C.制定纠偏措施
D.收集项目目标实际值
【标准答案-建设工程教育网】B
【建设工程教育网-名师解析】本题考查的是项目目标动态控制的方法及其应用。动态控制第一步,项目目标动态控制的准备工作:将项目的目标进行分解,以确定用于目标控制的计划值。参见教材P57。
 
20.某分项工程某月计划工程量为3200m2,计划单价为15元/m2;月底核定承包商实际完成工程量为2800m2,实际单价为20元/m2,则该工程的已完成工作实际费用(ACWP)为( )元。
A.56000
B.42000
C.48000
D.64000
【标准答案-建设工程教育网】A
【建设工程教育网-名师解析】本题考查的是赢得值法。WS=3200,BC=15,WP=2800,AC=20,所以,ACWP=20×2800=56000元。参见教材P101~102。21.沟通的两个层面是指( )。
A.信息的发送者和接受者
B.沟通内容和沟通方法
C.信息传递和交换
D.思维交流和语言交流
【标准答案-建设工程教育网】D
【建设工程教育网-名师解析】本题考查的是沟通障碍。沟通有两个要素:思维与表达;沟通也有两个层面:思维的交流和语言的交流。参见教材P66。
 
22.关于施工成本控制程序的说法,正确的是( )。
A.管理行为控制程序是成本全过程控制的重点
B.指标控制程序是对成本进行过程控制的基础
C.管理行为控制程序是项目施工成本结果控制的主要内容
D.管理行为控制程序和指标控制程序在实施过程中相互制约
【标准答案-建设工程教育网】D
【建设工程教育网-名师解析】本题考查的是施工成本控制的步骤。成本的过程控制中,有两类控制程序,一是管理行为控制程序,二是指标控制程序。管理行为控制程序是对成本全过程控制的基础,指标控制程序则是成本进行过程控制的重点。两个程序既相对独立又相互联系,既相互补充又相互制约。选项C,成本的过程控制中,有两类控制程序,一是管理行为控制程序,二是指标控制程序。这里是项目施工成本过程控制的内容,不是结果控制。参见教材P96。
 
23.某双代号时标网络计划如下图,如B、D、I工作共用同一台施工机械且按B-D-I顺序施工,则对网络计划可能造成的影响是( )。
http://www.jianshe99.com/upload/html/2016/09/25/xi929b2c61f6604571bd1e883a100595d5.jpg
A.总工期不会延长,但施工机械会在现场闲置1周
B.总工期会延长1周,但施工机械在现场不会闲置
C.总工期不会延长,且施工机械在现场不会闲置
D.总工期会延长1周,且施工机械会在现场闲置1周
【标准答案-建设工程教育网】C
【建设工程教育网-名师解析】本题考查的是双代号时标网络计划。BDI三个工作,按照顺序施工,那么B工作是第4周完成,D工作紧接着开始,致使D工作拖延1周,但是D工作有1周的总时差,不影响总工期。D工作第10周结束后,I工作紧接着开始,持续4周,到第14周正好完成,不影响总工期。参见教材P133。
 
24.下列施工成本分析依据中,属于可对已发生,又可对尚未发生或正在发生的经济活动进行核算的是( )
A.会计核算
B.统计核算
C.成本预测
D.业务核算
【标准答案-建设工程教育网】D
【建设工程教育网-名师解析】本题考查的是施工成本分析的依据。会计和统计核算一般是对已经发生的经济活动进行核算,而业务核算不但可以核算已经完成的项目是否达到原定的目的、取得预期的效果,而且可以对尚未发生或正在发生的经济活动进行核算。参见教材P111。
 
25.根据国际设施管理协会的设施管理定义,下列管理事项中,属于物业运行管理的是( )。
A.空间管理
B.用户管理
C.维修管理
D.财务管理
【标准答案-建设工程教育网】C
【建设工程教育网-名师解析】本题考查的是建设工程管理的内涵。物业运行管理的定义包括两个方面,维修管理和现代化管理。参见教材P2。
http://www.jianshe99.com/upload/html/2016/09/25/xic5a9325184d8422fb21eacbf70317d86.jpg
 
26.关于业主方项目管理目标和任务的说法,正确的是( )。
A.业主方的进度目标指项目交付使用的时间目标
B.业主方的投资目标指项目的施工成本目标
C.投资控制是业主方项目管理任务中最重要的任务
D.业主方项目管理任务不包括设计阶段的信息管理
【标准答案-建设工程教育网】A
【建设工程教育网-名师解析】本题考查的是业主方项目管理的目标和任务。选项A,进度目标指的是项目动用的时间目标,也即项目交付使用的时间目标,此选项正确;选项B,业主的投资目标是项目的总投资目标,包括施工成本目标,但是不完全等于施工成本目标;选项C,安全控制是项目管理中最重要的任务;选项D,业主方的管理任务是包含信息管理的。参见教材P5。
 
27.下列施工质量控制依据中,属于专用性依据的是( )。
A.工程建设项目质量检验评定标准
B.建设工程质量管理条例
C.设计交底及图纸会审记录
D.材料验收的技术标准
【标准答案-建设工程教育网】C
【建设工程教育网-名师解析】本题考查的是施工质量控制的依据。项目专用型依据指本项目的工程建设合同、勘察设计文件、设计交底及图纸会审记录、设计修改和技术变更通知,以及相关会议记录和工程联系单等。参见教材P179。
 
28.关于成本加酬金合同的说法,正确的是( )。
A.当实行风险型CM模式时,适宜采用最大成本加费用合同
B.成本加固定费用的合同,承包商的酬金不可调整
C.成本加固定比例费用的合同,有利于缩短工期
D.当设计深度达到可以报总价的深度时,适宜采用成本加奖金合同
【标准答案-建设工程教育网】A
【建设工程教育网-名师解析】本题考查的是成本加酬金合同的形式。选项B,成本加固定费用的合同,有时也可在固定费用之外根据工程质量、工期和节约成本等因素,给承包商另加奖金,以鼓励承包商积极工作;选项C,成本加固定比例的合同,一般在工程初期很难描述工作范围和性质,或工期紧迫,无法按常规编制招标文件招标时采用;选项D,即当设计深度达到可以报总价的深度,应当采用最大成本加费用合同。参见教材P307。
 
29.下列组织工具中,可以用来对项目的结构进行逐层分解,以反映组成该项目的所有工作任务的是( )。
A.项目结构图
B.组织结构图
C.工作任务分工表
D.管理分工表
【标准答案-建设工程教育网】A
【建设工程教育网-名师解析】本题考查的是项目结构图。项目结构图通过树状图的方式对一个项目的结构进行逐层分解,以反映组成该项目的所有工作任务。参见教材P18。
 
30.根据《建筑施工企业安全生产管理机构设置及专职安全生产管理人员配备办法》,某3万m2的建筑工程项目部应配备专职安全管理人员的最少人数是( )名。
A.1
B.3
C.4
D.2
【标准答案-建设工程教育网】D
【建设工程教育网-名师解析】本题考查的是安全生产责任制度。1万m2以下的工程1人;1万m2~5万m2的工程不少于2人;5万m2以上的工程不少于3人。参见教材P226。
31.某焊接作业由甲、乙、丙丁四名工作操作,为评定各工作的焊接质量,共抽检100个焊点,抽检结果如下表。根据表中数据,各工人焊接质量由好至差的排序是( )。

http://www.jianshe99.com/upload/html/2016/11/02/li0b0ea827c3024c80a9d26d58c1137e4b.jpg
A.甲→乙→丙→丁
B.乙→甲→丙→丁
C.丁→乙→甲→丙
D.乙→甲→丁→丙
【标准答案-建设工程教育网】D
【建设工程教育网-名师解析】本题考查的是分层法的基本原理。这里要计算出个体不合格率,甲=2/10=20%,乙=4/40=10%,丙=10/20=50%,丁=8/30=26.7%。所以各工人焊接质量由好至差的排序是乙→甲→丁→丙。参见教材P206。
 
32.下列工程担保中,应由发包人出具的有( )。
A.支付担保
B.履约担保
C.预付款担保
D.保修担保
【标准答案-建设工程教育网】A
【建设工程教育网-名师解析】本题考查的是工程担保的内容。支付担保是中标人要求招标人提供的保证履行合同中约定的工程款支付义务的担保。这里是招标人提供的,也就是发包人需要出具的担保。参见教材P317。
 
33.根据事故造成损失的程序,下列工程质量事故中,属于重大事故的是( )。
A.造成1亿元以上直接经济损失的事故
B.造成1000万元以上5000元以下直接经济损失的事故
C.造成100万以上1000万元以下直接经济损失的事故
D.造成5000元以上1亿元以下直接经济损失的事故
【标准答案-建设工程教育网】D
【建设工程教育网-名师解析】本题考查的是工程质量事故。重大事故,是指造成10人以上30人以下死亡,或者50人以上100人以下重伤,或者5000万元以上1亿元以下直接经济损失的事故。参见教材P200。
 
34.根据《建筑法》及相关规定,施工企业应交纳的强制性保险是( )。
A.人身意外伤害险
B.工程一切险
C.工伤保险
D.第三者责任队
【标准答案-建设工程教育网】C
【建设工程教育网-名师解析】本题考查的是意外伤害保险制度。工伤保险是属于法定的强制性保险。参见教材P234。
 
35.根据《安全生产许可条例》,施工企业安全生产许可证( )。
A.有效期为2年
B.有效期届满时经同意可以不再审查
C.要求企业获得职业健康安全管理体系认证
D.应在届满后3个月内办理延期后续
【标准答案-建设工程教育网】B
【建设工程教育网-名师解析】本题考查的是安全生产许可证制度。选项A,正确的说法应为安全生产许可证的有效期为3年。选项B是正确的,企业在安全生产许可证有效期内,严格遵守有关安全生产的法律法规,未发生死亡事故的,安全生产许可证有效期届满时,经原安全生产许可证颁发管理机关同意,不再审查,安全生产许可证有效期延期3年。选项C,并没有要求企业获得职业健康安全管理体系认证。选项D,正确的说法应为安全生产许可证有效期满需要延期的,企业应当于期满前3个月向原安全生产许可证颁发管理机关办理延期手续。参见教材P227。
 
36.关于施工企业生产安全事故应急预案实施规定的说法,正确的是( )。
A.每年至少组织两次专项应急预案演练
B.每半年至少组织两次现场处置方案演练
C.法定代表人发生变化时,应当及时修订
D.周围环境发生变化时,即使没有形成新的重大危险源也应及时进行修订
【标准答案-建设工程教育网】C
【建设工程教育网-名师解析】本题考查的是应急预案的实施。每年至少组织一次综合应急预案演练或者专项应急预案演练,每半年至少组织一次现场处置方案演练。故选项AB是错误的。有下列情形之一的,应急预案应当及时修订:(1)生产经营单位因兼并、重组、转制等导致隶属关系、经营方式、法定代表人发生变化的;(2)生产经营单位生产工艺和技术发生变化的;(3)周围环境发生变化,形成新的重大危险源的;(4)应急组织指挥体系或者职责已经调整的;(5)依据的法律、法规、规章和标准发生变化的;(6)应急预案演练评估报告要求修订的;(7)应急预案管理部门要求修订的。故选项C是正确的,选项D是错误的。参见教材P253。
 
37.根据《建设工程监理规范》(GB/T50319-2013),工程建设监理实施细则必须经( )批准。
A.监理单位技术负责人
B.总监理工程师
C.专业监理工程师
D.监理单位法定代表人
【标准答案-建设工程教育网】B
【建设工程教育网-名师解析】本题考查的是工程建设监理实施细则。工程建设监理实施细则应在工程施工开始前编制完成,并必须经总监理工程师批准。参见教材P77。
 
38.关于管理职能分工表的说法,错误的是( )。
A.是用表的形式反映项目管理班子内部项目经理、各工作部门和各工作岗位对各项工作任务的项目管理职能分工
B.管理职能分工表示无法暴露仅用岗位描述书时所掩盖的矛盾
C.可辅以管理职能分工描述书来明确每个工作部门的管理职能
D.可以用管理职能分工表来区分业主方方和代表业主利益的项目管理方和工程建设监理方等的管理职能
【标准答案-建设工程教育网】B
【建设工程教育网-名师解析】本题考查的是管理职能分工在项目管理中的应用。选项A是正确的,管理职能分工表是用表的形式反映项目管理班子内部项目经理、各工作部门和各工作岗位对各项工作任务的项目管理职能分工。工业发达国家在建设项目管理中广泛应用管理职能分工表,以使管理职能的分工更清晰、更严谨,并会暴露仅用岗位责任描述书时所掩盖的矛盾。如使用管理职能分工表还不足以明确每个工作部门的管理职能,则可辅以使用管理职能分工描述书。选项B是错误的,选项C是正确的。为了区分业主方和代表业主利益的项目管理方和工程建设监理方等的管理职能,也可以用管理职能分工表表示。选项D是正确的。参见教材P31、33。
 
39.与施工总承包模式相比,施工总承包管理模式具有的优势是( )。
A.业主方招标及合同管理工作量小
B.工程款项支付便捷
C.缩短建设周期
D.简化管理流程
【标准答案-建设工程教育网】C
【建设工程教育网-名师解析】本题考查的是施工任务委托的模式。在进度控制方面,施工总承包模式开工日期不可能太早,建设周期会较长。这是施工总承包模式的最大缺点,限制了其在建设周期紧迫的建设工程项目上的应用。施工总承包管理模式不需要等待施工图设计完成后再进行施工总承包管理的招标,分包合同的招标也可以提前,这样就有利于提前开工,有利于缩短建设周期。故选择选项C。参见教材P44。
 
40.建设工程项目施工成本管理涉及的时间范围是( )。
A.从工程投标报价开始至项目保证金返还为止
B.从施工图预算开始至项目运用为止
C.从工程投标报价开始至项目竣工结算完成为止
D.从施工准备开始至项目竣工结算完成为止
【标准答案-建设工程教育网】A
【建设工程教育网-名师解析】本题考查的是建设工程项目施工成本控制。建设工程项目施工成本管理应从工程投标报价开始,直至项目保证金返还为止,贯穿于项目实施的全过程。参见教材P78。
41.下列工程质量问题中,可不做专门处理的是( )。
A.某高层住宅施工中,底部二层的混凝土结构误用安定性不合格的水泥
B.某防洪堤坝填筑压实后,压实土的干密度未达到规定值
C.某检验批混凝土试块强度不满足规范要求,但混凝土实体强度检测后满足设计要求
D.某工程主体结构混凝土表面裂缝大于0.5mm
【标准答案-建设工程教育网】C
【建设工程教育网-名师解析】本题考查的是施工质量缺陷处理的基本方法。某些工程质量问题虽然达不到规定的要求或标准,但其情况不严重,对结构安全或使用功能影响很小,经过分析、论证、法定检测单位鉴定和设计单位等认可后可不作专门处理。法定检测单位鉴定合格的。例如,某检验批混凝土试块强度值不满足规范要求,强度不足,但经法定检测单位对混凝土实体强度进行实际检测后,其实际强度达到规范允许和设计要求值时,可不作处理。参见教材P205~206。
 
42.在进行建设工程项目总进度目标控制前,首先应分析和认证( )。
A.进度目标实现的可能性
B.进度计划系统的完整性
C.进度计划方法的适用性
D.进度控制方法的合理性
【标准答案-建设工程教育网】A
【建设工程教育网-名师解析】本题考查的是项目总进度目标论证的工作内容。在进行建设工程项目总进度目标控制前,首先应分析和论证进度目标实现的可能性。参见教材P124。
 
 
43.关于职业健康安全管理体系和环境管理体系标准比较的说法,正确的是( )
A.管理原理不同
B.管理对象相同
C.管理目标不同
D.管理重点不同
【标准答案-建设工程教育网】D
【建设工程教育网-名师解析】本题考查的是职业健康安全管理体系和环境管理体系标准。职业健康安全管理和环境管理都是组织管理体系的一部分,其管理的主体是组织,管理的对象是一个组织的活动、产品或服务中能与职业健康安全发生相互作用的不健康、不安全的条件和因素,以及能与环境发生相互作用的要素。两个管理体系所需要满足的对象和管理侧重点有所不同,但管理原理基本相同。参加教材P215。
 
44.某按变动单价计价的建筑施工合同中,投标时约定的工程量为10000m3,其中人工费占比30%,工程量变化不调整单价,中标合同价为30万元;施工期间人工费平均上涨15%,竣工结算工程量为20000m3,其他条件均无变化,则竣工结算价为( )万元。
A.62.7
B.31.35
C.60
D.69
【标准答案-建设工程教育网】A
【建设工程教育网-名师解析】本题考查的是单价合同。因为合同约定工程量变化不调整单价。最终工程量为20000m3,所以不考虑人工费调整时,结算价应为60万。然后通过调值公式进行调值,人工费占比30%,平均上涨15%,所以最终的结算价为60×(0.7+0.3×115/100)=62.7(万元)。参见教材P304。
 
45.根据施工组织设计的管理要求,重点、难点分部(分项)工程施工方案的批准人是( )。
A.项目技术负责人
B.施工单位技术责任人
C.项目负责人
D.总监理工程师
【标准答案-建设工程教育网】B
【建设工程教育网-名师解析】本题考查的是施工组织设计的编制和审批。重点、难点分部(分项)工程和专项工程施工方案应由施工单位技术部门组织相关专家评审,施工单位技术负责人批准。参见教材P55。
 
46.美国的AIA合同条件在美洲地区具有较高的权威性,其主要用于( )工程。
A.市政公用
B.石油化工
C.房屋建筑
D.水利水电
【标准答案-建设工程教育网】C
【建设工程教育网-名师解析】本题考查的是美国AIA系列合同条件。AIA合同条件主要用于私营的房屋建筑工程,在美洲地区具有较高的权威性,应用广泛。参见教材P350。
 
47.根据《建设工程施工劳务分包合同(示范文本)》(GF-2003-2014),应由劳务分包人完成的工作是( )。
A.收集技术资料
B.搭建生活设施
C.编制施工计划
D.加强安全教育
【标准答案-建设工程教育网】D
【建设工程教育网-名师解析】本题考查的是劳务分包人的主要义务。选项ABC均是承包人应该完成的工作,只有选项B是劳务分包人应该完成的工作。参见教材P295。
 
48.建筑施工企业因暂时生产经营困难无法按劳动合同约定的日期支付工资的,应当向劳动者说明情况,并经与工会或职工代表协商一致后,可以延期支付工资,但最长不得超过( )日。
A.30
B.60
C.90
D.120
【标准答案-建设工程教育网】A
【建设工程教育网-名师解析】本题考查的是施工企业人力资源管理的任务。建筑施工企业因暂时生产经营困难无法按劳动合同约定的日期支付工资的,应当向劳动者说明情况,并经与工会或职工代表协商一致后,可以延期支付工资,但最长不得超过30日。参见教材P70。
49.根据《中华人民共和国招标投标法》及相关法规,对必须招标的项目,招标人行为符合要求的是( )。
A.就同一招标项目向潜在投标人提供有差别的项目信息
B.委托两家招标代理机构,设置两处报名点接受投标人报名
C.以特定行业的业绩、奖项作为加分条件
D.限定或者指定特定的品牌
【标准答案-建设工程教育网】B
【建设工程教育网-名师解析】本题考查的是资格预审。招标人有下列行为之一的,属于以不合理条件限制、排斥潜在投标人或者投标人:(1)就同一招标项目向潜在投标人或者投标人提供有差别的项目信息;(2)设定的资格、技术、商务条件与招标项目的具体特点和实际需要不相适应或者与合同履行无关;(3)依法必须进行招标的项目以特定行政区域或者特定行业的业绩、奖项作为加分条件或者中标条件;(4)对潜在投标人或者投标人采取不同的资格审查或者评标标准;(5)限定或者指定特定的专利、商标、品牌、原产地或者供应商;(6)依法必须进行招标的项目非法限定潜在投标人或者投标人的所有制形式或者组织形式;(7)以其他不合理条件限制、排斥潜在投标人或者投标人。参见教材P269~270。
 
50.关于建设工程竣工验收备案的说法,正确的是( )。
A.建设单位应在建设工程竣工验收合格之日起30日内,向工程所在地的县级以上地方人民政府建设主管单位备案
B.建设单位办理竣工验收备案时,应提交由监理单位编制的工程竣工验收报告
C.建设单位办理竣工验收各案时,应提交由施工单位签署的工程质量保修书
D.建设单位办理竣工验收备案时,对住宅工程应提交《住宅工程质量分户验收表》
【标准答案-建设工程教育网】C
【建设工程教育网-名师解析】本题考查的是竣工验收备案。选项A,正确的说法应为“建设单位应当自建设工程竣工验收合格之日起15日内,向工程所在地的县级以上地方人民政府建设主管部门备案”;选项B,正确的说法应为“建设单位办理竣工验收备案时,应提交由建设单位编制的工程竣工验收报告”;选项D,正确的说法应为“建设单位办理竣工验收备案时,对住宅工程应提交《住宅质量保证书》和《住宅使用说明书》”。参见教材P199~200。
51.某双代号网络计划中,工作M的自由时差3天,总时差5天。在进度计划实施检查中发现工作M实际进度落后,且影响总工期2天。在其他工作均正常的前提下,工作M的实际进度落后( )天。
A.7
B.5
C.6
D.8
【标准答案-建设工程教育网】A
【建设工程教育网-名师解析】本题考查的是双代号网络计划。因为本项工作已有总时差5天,但还是影响总工期2天,所以工作M的实际进度是落后了5+2=7天。参见教材P127。
 
52.下列建设工程项目策划工作中,属于实施阶段策划的是( )。
A.编制项目实施期组织总体方案
B.编制项目实施期管理总体方案
C.编制项目实施期合同结构总体方案
D.制订项目风险管理与工程保险方案
【标准答案-建设工程教育网】D
【建设工程教育网-名师解析】本题考查的是项目实施阶段策划的工作内容。建设工程项目实施阶段策划的基本内容中包括项目实施的管理策划,其主要工作内容包括:(1)项目实施各阶段项目管理的工作内容;(2)项目风险管理与工程保险方案。参见教材P40。
 
53.关于建设工程安全事故报告的说法,正确的是( )。
A.各行业专业工程可只向有关行业主管部门报告
B.安全生产监督管理部门除按规定逐级上报外,还应同时报告本级人民政府
C.一般情况下,事故现场有关人员应立即向安全生产监督部门报告
D.事故现场有关人员应直接向事故发生地县级以上人民政府报告
【标准答案-建设工程教育网】B
【建设工程教育网-名师解析】本题考查的是建设工程安全事故的处理。选项A,正确的说法应为“各个行业的建设施工中出现了安全事故,都应当向建设行政主管部门报告”;选项C,正确的说法应为“事故发生后,事故现场有关人员应当立即向本单位负责人报告;单位负责人接到报告后,应当于1小时内向事故发生地县级以上人民政府安全生产监督管理部门和负有安全生产监督管理职责的有关部门报告”;选项D,正确的说法应为“情况紧急时,事故现场有关人员可以直接向事故发生地县级以上人民政府安全生产监督管理部门和负有安全生产监督管理职责的有关部门报告”。参见教材P255。
 
54.建立项目质量控制体系的过程包括:①分析质量控制界面;②确立系统质量控制网络;③制定质量控制制度;④编制质量控制计划。其正确的工作步骤是( )。
A.②→③→①→④
B.①→②→③→④
C.②→①→③→④
D.①→③→②→④
【标准答案-建设工程教育网】A
【建设工程教育网-名师解析】本题考查的是项目质量控制体系的建立。项目质量控制体系的建立过程,一般可按以下环节依次展开工作:(1)确立系统质量控制网络;(2)制定质量控制制度;(3)分析质量控制界面;(4)编制质量控制计划。参见教材P171~172。
 
55.施工合同的实施中,应由( )对各工程小组进行建设工程施工合同交底。
A.施工员
B.项目技术负责人
C.项目经理
D.施工企业负责人
【标准答案-建设工程教育网】C
【建设工程教育网-名师解析】本题考查的是施工合同交底的任务。项目经理或合同管理人员应将各种任务或事件的责任分解,落实到具体的工作小组、人员或分包单位。参见教材P321。
 
56.某工程的时标网络计划如下图,下列工期延误事件中,属于共同延误的是( )。
A.工作C因发包人原因和工作G因承包人原因各延误2周
B.工作D因发包人原因和工作F因承包人原因各延误2周
C.工作A因发包人原因和工作B因承包人原因各延误2周
D.工作E因发包人原因和工作F因承包人原因各延误2周
【标准答案-建设工程教育网】C
【建设工程教育网-名师解析】本题考查的是工期索赔的计算。当两个或两个以上的延误事件从发生到终止的时间完全相同时,这些事件引起的延误称为共同延误。参见教材P345。
 
57.根据《建设项目工程总承包管理规范》(GB/T50358—2005),下列项目总承包方的工作中,首先应进行的是( )。
A.进行项目策划
B.召开开工会议
C.任命项目经理
D.施工开工准备
【标准答案-建设工程教育网】C
【建设工程教育网-名师解析】本题考查的是项目总承包方的工作程序。项目总承包方的工作程序,首先应进行的是项目启动:在工程总承包合同条件下,任命项目经理,组建项目部。参见教材P43。
 
58.关于竣工质量验收程序和组织的说法,正确的是( )。
A.单位工程的分包工程完工后,总包单位应组织进行自检,并按规定的程序进行验收
B.工程竣工质量验收由建设单位委托监理单位负责组织实施
C.单位工程完工后,总监理工程师应组织各专业监理工程师对工程质量进行竣工预验收
D.工程竣工报告应由监理单位提交并须经总监理工程师签署意见
【标准答案-建设工程教育网】C
【建设工程教育网-名师解析】本题考查的是竣工质量验收程序和组织。选项A,正确的说法应为“单位工程中的分包工程完工后,分包单位应对所承包的工程项目进行自检,并应按规定的程序进行验收”;选项B,正确的说法应为“工程竣工质量验收由建设单位负责组织实施”;选项D,正确的说法应为“实行监理的工程,工程竣工报告须经总监理工程师签署意见”。参见教材P198~199。
 
59.下列项目质量控制体系中,属于质量控制体系第二层次的是( )。
A.建设单位项目管理机构建立的项目质量控制体系
B.交钥匙工程总承包企业项目管理机构建立的项目质量控制体系
C.项目设计总负责单位建立的项目质量控制体系
D.施工设备安装单位建立的现场质量控制体系
【标准答案-建设工程教育网】C
【建设工程教育网-名师解析】本题考查的是项目质量控制体系的性质、特点和构成。第二层次的质量控制体系,通常是指分别由项目的设计总负责单位、施工总承包单位等建立的相应管理范围内的质量控制体系。参见教材P170。
 
60.施工企业在工程投标及签订合同阶段编制的估算成本计划,属于( )成本计划。
A.指导性
B.实施性
C.作业性
D.竞争性
【标准答案-建设工程教育网】D
【建设工程教育网-名师解析】本题考查的是施工成本计划的类型。竞争性成本计划是施工项目投标及签订合同阶段的估算成本计划。参见教材P85。61.某双代号网络计划中,工作A有两项紧后工作B和C,工作B和工作C的最早开始时间分别为第13天和第15天,最迟开始时间分别为第19天和第21天;工作A与工作B和工作C的间隔时间分别为0天和2天。如果工作A实际进度拖延7天,则( )。
A.对工期没有影响
B.总工期延长2天
C.总工期延长3天
D.总工期延长1天
【标准答案-建设工程教育网】D
【建设工程教育网-名师解析】本题考查的是双代号网络计划时间参数的计算。A工作有两项紧后工作,A-B线路的总时差为19-13=6天,A-C线路的总时差为21-15+2=7天,二者取最小值,那么A工作的总时差为6天,如果A的实际进度延误7天,影响总工期1天。参见教材P137。
 
62.关于DAB(争端裁决委员会)方式解决争议的说法,正确的是( )。
A.DAB的成员一般是工程技术和管理方面的专家
B.DAB提出的裁决具有终局性
C.特聘争端裁决委员会的任期与合同期限一致
D.DAB由合同一方当事人聘请
【标准答案-建设工程教育网】A
【建设工程教育网-名师解析】本题考查的是施工承包合同争议的解决方式。选项B,DAB提出的裁决不是强制性的,不具有终局性;选项C,特聘争端裁决委员会,他们的任期通常在DAB对该争端发出其最终决定时期满;选项D,DAB委员是发包人和承包人自己选择的。参见教材P352。
 
63.下列项目风险管理工作中,属于风险响应的是( )。
A.收集与项目风险有关的信息
B.监控可能发生的风险并提出预警
C.确定各种风险的风险量和风险等级
D.向保险公司投保难以控制的风险
【标准答案-建设工程教育网】D
【建设工程教育网-名师解析】本题考查的是项目风险管理的工作流程。选项A属于风险识别;选项B属于风险控制;选项C属于风险评估。参见教材P72。
 
64.下列建设工程施工合同跟踪的对象中,属于对业主跟踪的是( )。
A.成本的增减
B.图纸的提供
C.施工的质量
D.分包人失误
【标准答案-建设工程教育网】B
【建设工程教育网-名师解析】本题考查的是施工合同跟踪。选项AC属于对施工单位的跟踪;选项D属于对分包人的跟踪。参见教材P322。
 
65.在编制施工成本计划时,通常需要进行“两算”对比分析,“两算”指的是( )。
A.施工图预算、成本核算
B.施工图预算、施工预算
C.施工预算、成本核算
D.施工预算、施工决算
【标准答案-建设工程教育网】B
【建设工程教育网-名师解析】本题考查的是施工预算。“两算”指施工预算与施工图预算。参见教材P88。
 
66.根据《建设工程施工合同(示范文本)》(GF-2013—0201),保修期的开始计算时间是指( )。
A.竣工验收合格日
B.合同基准日期
C.实际竣工日期
D.保证金扣留日
【标准答案-建设工程教育网】A
【建设工程教育网-名师解析】本题考查的是施工承包合同文件。保修期:是指承包人按照合同约定对工程承担保修责任的期限,从工程竣工验收合格之日起计算。参见教材P279。
 
67.某双代号网络计划如下图(时间单位:天),其关键线路有( )条。
A.2
B.3
C.5
D.4
【标准答案-建设工程教育网】D
【建设工程教育网-名师解析】本题考查的是关键工作、关键线路和时差的确定。在双代号网络计划和单代号网络计划中,关键线路是总的工作持续时间最长的线路。关键线路有:A→B→E→G→I→J;A→B→E→H→J;A→C→F→G→I→J;A→C→F→H→J。参见教材P150。
 
68.在一份保险合同中,保险人承担或给付保险金责任的最高额度是该份保险合同的( )。
A.标的价值
B.保险金额
C.保险费
D.实际赔付额
【标准答案-建设工程教育网】B
【建设工程教育网-名师解析】本题考查的是工程保险的内容。保险金额是保险利益的货币价值表现,简称保额,是保险人承担赔偿或给付保险金责任的最高限额。参见教材P311。
 
69.下列建设工程项目进度控制的措施中,属于经济措施的是( )。
A.落实资金供应条件
B.选择发承包模式
C.进行工程进度的风险分析
D.优选工程项目的设计、施工方案
【标准答案-建设工程教育网】A
【建设工程教育网-名师解析】本题考查的是项目进度控制的经济措施。建设工程项目进度控制的经济措施涉及资金需求计划、资金供应的条件和经济激励措施等。选项B属于管理措施;选项C属于管理措施;选项D属于技术措施。参见教材P155。
 
70.在进行月(季)度成本分析时,如果存在“政策性”亏损,则应( )。
A.增加收入,弥补亏损
B.降低标准,防止再超支
C.暂停生产,等待政策调整
D.控制支出,压缩超支额
【标准答案-建设工程教育网】D
【建设工程教育网-名师解析】本题考查的是综合成本的分析方法。如果是属于规定的“政策性”亏损,则应从控制支出着手,把超支额压缩到最低限度。参见教材P116。二、多项选择题(共30题,每题2分。每题的备选项中,有2个或2个以上符合题意,至少有1个错项。错选,本题不得分;少选,所选的每个选项得0.5分)
71.关于建设工程项目进度控制措施的说法,正确的有( )。
A.对于工程项目的进度开展风险管理属于经济措施
B.各类进度计划的编制、审批程序属于组织措施
C.进度控制会议的组织设计属于技术措施
D.进度控制的管理措施涉及管理的思想、方法、和手段、承发包模式等
E.应用信息技术进行进度控制属于管理措施
【标准答案-建设工程教育网】BDE
【建设工程教育网-名师解析】本题考查的是建设工程项目进度控制的措施。选项A是管理措施,选项C是组织措施。参见教材P154~155。
 
72.根据《全国建筑市场各方主体不良行为记录认定标准》,下列不良行为中,属于承揽业务方面的有( )。
A.允许其他单位或个人以单位名义承揽工程
B.不按照与招标人订立的合同履行义务,情节严重
C.以向招标人或者评标委员会成员行贿的手段谋取中标
D.将承包的工程转包或者违法分包
E按照国家规定需要持证上岗的技术工种的作业人员未取得证书上岗
【标准答案-建设工程教育网】BCD
【建设工程教育网-名师解析】本题考查的是施工合同履行过程中的诚信自律。选项AE是资质不良行为的情况。参见教材P328~329。
 
73.关于判别网络计划关键线路的说法,正确的有( )。
A.相邻两工作间的间隔时间均为零的线路
B.双代号网络计划中无虚箭线的线路
C.总持续时间最长的线路
D.双代号网络计划中由关键节点组成的线路
E.时标网络计划中无波形线的线路
【标准答案-建设工程教育网】CE
【建设工程教育网-名师解析】本题考查的是关键工作、关键线路和时差的确定。选项A,从起点节点开始到终点节点均为关键工作,且所有工作的时间间隔均为零的线路应为关键线路。选项B,关键线路上是可以有虚工作的,虚工作不占用时间和资源;选项D,关键节点组成的线路不一定是关键线路,而关键线路上的节点必定是关键节点。参见教材P150。
 
74.关于工作总时差、自由时差及相邻两工作间间隔时间关系的说法,正确的有( )。
A.工作的自由时差一定不超过其紧后工作的总时差
B.工作的自由时差一定不超过其相应的总时差
C.工作的总时差一定不超过其紧后工作的自由时差
D.工作的自由时差一定不超过其紧后工作之间的间隔时间
E.工作的总时差一定不超过其紧后工作之间的间隔时间
【标准答案-建设工程教育网】BD
【建设工程教育网-名师解析】本题考查的是工程网络计划有关时间参数的计算。选项A错误,本工作的自由时差,与紧后工作的总时差没有必然的联系;选项C错误,本工作的总时差等于本工作的自由时差加上后续工作的总时差,但是与紧后工作的自由时差是没有关联的;选项E错误,与紧后工作的最小时间间隔是该工作的自由时差,总时差一定是大于等于自由时差的。参见教材P138。
 
75.建设工程项目总进度目标认证时,在进行项目的工作编码前应完成的工作有( )。
A.编制各层进度计划
B.协调各层进度计划的关系
C.调查研究和收集资料
D.进度计划系统的结构分析
E.项目结构分析
【标准答案-建设工程教育网】CDE
【建设工程教育网-名师解析】本题考查的是项目总进度目标论证的工作步骤。建设工程项目总进度目标论证的工作步骤如下:(1)调查研究和收集资料;(2)项目结构分析;(3)进度计划系统的结构分析;(4)项目的工作编码;(5)编制各层进度计划;(6)协调各层进度计划的关系,编制总进度计划;(7)若所编制的总进度计划不符合项目的进度目标,则设法调整;(8)若经过多次调整,进度目标无法实现,则报告项目决策者。参见教材P124。
 
76.根据《特种作业人员安全技术培训考核管理规定》,特种作业人员应当具备的条件有( )。
A.年满16周岁
B.具有初中及以上文化水平
C.取得特种作业操作证
D.经社区或者县级以上医疗机构体检健康合格
E.培训教育记录
【标准答案-建设工程教育网】BCD
【建设工程教育网-名师解析】本题考查的是安全生产教育培训制度。特种作业人员需要具备的要求:(1)年满18周岁,且不超过国家法定退休年龄;(2)经社区或者县级以上医疗机构体检健康合格;(3)具有初中及以上文化程度;(4)具备必要的安全技术知识与技能。另外,特种作业人员必须经专门的安全技术培训并考核合格,取得《中华人民共和国特种作业操作证》后,方可上岗作业。参见教材P228~229。
 
 
77.根据下列直方图的分布位置与质量控制标准的上下限范围的比较分析,正确的有( )。
A.图(l)显示生产过程的质量正常、稳定、受控
B.图(3)显示质量特性数据分布达到质量标准上下限,质量能力处于临界状态
C.图(4)显示质量特性数据的分布居中,质量能力偏大,不经济
D.图(5)显示质量特性数据超出质量标准的下限,存在质量不合格情况
E.图(2)显示质量特性数据分布偏上限,易出现不合格
【标准答案-建设工程教育网】ABCD
【建设工程教育网-名师解析】本题考查的是直方图的应用。图(2)显示质量特性数据分布偏下限,易出现不合格。参见教材P210。
78.根据《建设工程施工合同》,施工单位任命项目经理需要向建设单位提供哪些证明( )。
A.劳动合同
B.缴纳的社会保险
C.项目经理持有的注册执业证书
D.职称证书
E.授权范围
【标准答案-建设工程教育网】AB
【建设工程教育网-名师解析】本题考查的是施工企业项目经理的工作性质。项目经理应是承包人正式聘用的员工,承包人应向发包人提交项目经理与承包人之间的劳动合同,以及承包人为项目经理缴纳社会保险的有效证明。选项C、D、E不属于必须要向发包方提交的资料。参见教材P61。
 
79.关于分部分项工程成本分析,下列说法正确的有( )。
A.分部分项成本分析是施工项目成本分析的基础
B.必须对施工项目所有的分部分项进行成本分析
C.分部分项成本分析的方法是进行实际成本与目标成本比较
D.分部分项成本分析的对象为已完分部分项工程
E.对主要的分部分项工程要做到从开工到竣工进行系统的成本分析
【标准答案-建设工程教育网】ADE
【建设工程教育网-名师解析】本题考查的是综合成本的分析方法。由于施工项目包括很多分部分项工程,无法也没有必要对每一个分部分项工程都进行成本分析,选项B错误;分部分项工程成本分析的方法是:进行预算成本、目标成本和实际成本的“三算”对比,选项C错误。参见教材P115。
 
80.下列费用按照费用构成要素划分,属于企业管理费的有( )。
A.管理人员工资
B.检验试验费
C.固定资产使用费
D.工具使用费
E.材料费
【标准答案-建设工程教育网】ABCD
【建设工程教育网-名师解析】本题考查的是施工成本计划的编制依据。按照成本构成要素,建筑安装工程费分为人工费、材料费、施工机具使用费、企业管理费、利润、规费和税金组成。企业管理费包括管理人员工资、办公费、差旅交通费、固定资产使用费、工具用具使用费、劳动保险费和职工福利费、劳动保护费、检验试验费、工会经费、职工教育费、财产保险费、财务费等。参见教材P90。81.关于固定总价合同的说法,正确的有( )。
A.合同总价一次包死,业主不承担投资风险
B.图纸和工程内容明确是使用这种合同的前提之一
C.固定总价合同也有调整合同总价的可能
D.合同双方结算比较简单
E.在国际上很少采用固定总价合同
【标准答案-建设工程教育网】BCD
【建设工程教育网-名师解析】本题考查的是固定总价合同。对业主而言,在合同签订时就可以基本确定项目的总投资额,对投资控制有利;在双方都无法预测的风险条件下和可能有工程变更的情况下,承包商承担了较大的风险,业主的风险较小;在固定总价合同中还可以约定,在发生重大工程变更、累计工程变更超过一定幅度或者其他特殊条件下可以对合同价格进行调整;在国际上,这种合同被广泛接受和采用,因为有比较成熟的法规和先例的经验。参见教材P304~305。
82.下列建设工程项目风险中,属于经济与管理风险的有( )。
A.事故防范措施和计划
B.工程施工方案
C.现场与公用防火设施的可用性
D.承包方管理人员的能力
E.引起火灾和爆炸的因素
【标准答案-建设工程教育网】AC
【建设工程教育网-名师解析】本题考查的是建设工程项目的风险类型。经济与管理风险包括:宏观和微观经济情况;工程资金供应的条件;合同风险;现场与公用防火设施的可用性及其数量;事故防范措施和计划;人身安全控制计划;信息安全控制计划等。选项B属于技术风险;选项D属于组织风险;选项E属于工程环境风险。参见教材P71。
 
83.施工质量计划的基本内容包括( )。
A.质量总目标及分解目标
B.工序质量偏差的纠正
C.质量管理组织机构和职责
D.施工质量控制点及跟踪控制的方式
E.质量记录的要求
【标准答案-建设工程教育网】ACDE
【建设工程教育网-名师解析】本题考查的是施工质量计划的内容与编制方法。施工质量计划的基本内容一般应包括:工程特点及施工条件(合同条件、法规条件和现场条件等)分析;质量总目标及其分解目标;质量管理组织机构和职责,人员及资源配置计划;确定施工工艺与操作方法的技术方案和施工组织方案;施工材料、设备等物资的质量管理及控制措施;施工质量检验、检测、试验工作的计划安排及其实施方法与检测标准;施工质量控制点及其跟踪控制的方式与要求;质量记录的要求。参见教材P180~181。
 
84.关于施工质量事故调查处理的说法,正确的有( )。
A.未造成人员伤亡的一般事故,县级人民政府可以委托事故发生单位组织调查
B.在事故原因分析中,必要时要组织对事故项目进行检测鉴定和专家技术论证
C.事故处理应包括对事故相关责任者实施行政处罚
D.事故处理报告应包括对事故相关责任者的处罚情况和事故处理的结论
E.制定事故处理技术方案时,只需考虑使用功能,不需考虑成本
【标准答案-建设工程教育网】ABD
【建设工程教育网-名师解析】本题考查的是施工质量事故报告和调查处理程序。事故的责任处罚,依据有关人民政府对事故调查报告的批复和有关法律法规的规定,对事故相关责任者实施行政处罚,负有事故责任的人员涉嫌犯罪的,依法追究刑事责任。在制定事故处理的技术方案时,应做到安全可靠、技术可行、不留隐患、经济合理、具有可操作性、满足项目的安全和使用功能要求。参见教材P203~204。
 
85.关于建设工程项目管理的说法,正确的有( )。
A.业主方是建设工程项目生产过程的总组织者
B.建设工程项目各参与方的工作性质和工作任务不尽相同
C.建设工程项目管理的核心任务是项目的费用控制
D.施工方的项目管理是项目管理的核心
E.实施建设工程项目管理需要有明确的投资、进度和质量目标
【标准答案-建设工程教育网】ABE
【建设工程教育网-名师解析】本题考查的是建设工程项目管理的目标和任务。项目管理的核心任务是项目的目标控制。业主方是建设工程项目生产过程的总组织者,对于一个建设工程项目而言,业主方的项目管理往往是该项目的项目管理的核心。参见教材P4。
 
86.关于建设工程现场职业健康安全卫生措施的说法,正确的有( )。
A.每间宿舍居住人员不得超过16人
B.施工现场宿舍必须设置可开启式窗户
C.现场食堂炊事人员必须持身体健康证上岗
D.厕所应设专人负责清扫、消毒
E.施工区必须配备开水炉
【标准答案-建设工程教育网】ABCD
【建设工程教育网-名师解析】本题考查的是施工现场职业健康安全卫生的要求。生活区应设置开水炉、电热水器或饮用水保温桶;施工区应配备流动保温水桶。参见教材P265。
 
87.地方各级安全生产监督管理部门制定的应急预案,应当报( )备案。
A.上一级人民政府
B.同级人民政府
C.同级其他负有安全生产监督管理职责的部门
D.同级建设行政主管部门
E.上一级安全生产监督管理部门
【标准答案-建设工程教育网】BE
【建设工程教育网-名师解析】本题考查的是应急预案的备案。地方各级安全生产监督管理部门的应急预案,应当报同级人民政府和上一级安全生产监督管理部门备案。其他负有安全生产监督管理职责的部门的应急预案,应当抄送至同级安全生产监督管理部门。参见教材P252。
88.下列建设工程施工合同的风险中,属于管理风险的有( )。
A.政府工作人员干预
B.环境调查不深入
C.投标策略错误
D.汇率调整
E.合同条款不严密
【标准答案-建设工程教育网】BCE
【建设工程教育网-名师解析】本题考查的是施工合同风险的类型。选项A属于项目组织成员资信和能力风险;选项D属于项目外界环境风险。参见教材P310。
 
89.根据建设工程全过程质量管理的要求,质量控制的主要过程包括( )。
A.项目策划与决策过程
B.设备材料采购过程
C.施工组织与实施过程
D.项目运行与维修过程
E.工程质量的评定过程
【标准答案-建设工程教育网】ABCE
【建设工程教育网-名师解析】本题考查的是全面质量管理思想和方法的应用。全过程质量管理的主要过程包括:项目策划与决策过程;勘察设计过程;设备材料采购过程;施工组织与实施过程;检测设施控制与计量过程;施工生产的检验试验过程;工程质量的评定过程;工程竣工验收与交付过程;工程回访维修服务过程等。参见教材P168。
 
90.关于建设工程物资采购管理的说法,正确的有( )。
A.物资采购结束后应将采购资料归档
B.物资采购应符合工程进度、安全和成本管理等要求
C.工程建设物资由工程承包单位采购的,发包单位可以指定生产厂或供应商
D.物资采购应明确采购产品或服务的基本要求、采购分工及有关责任
E.物资采购应符合有关合同和设计文件规定的数量、技术要求和质量标准
【标准答案-建设工程教育网】ABDE
【建设工程教育网-名师解析】本题考查的是物资采购的模式。物资采购工作应符合有关合同和设计文件所规定的数量、技术要求和质量标准,并符合工程进度、安全、环境和成本管理等要求。采购管理应遵循下列程序:(1)明确采购产品或服务的基本要求、采购分工及有关责任;(2)进行采购策划,编制采购计划;(3)进行市场调查,选择合格的产品供应或服务单位,建立名录;(4)采用招标或协商等方式实施评审工作,确定供应或服务单位;(5)签订采购合同;(6)运输、验证、移交采购产品或服务;(7)处置不合格产品或不符合要求的服务;(8)采购资料归档。参见教材P47。91.下列施工组织设计内容中,属于专项施工方案的有( )。
A.施工安排
B.施工进度计划
C.施工现场平面布置
D.施工方法及工艺要求
E.资源配置计划
【标准答案-建设工程教育网】ABDE
【建设工程教育网-名师解析】本题考查的是施工组织设计的内容。施工方案在某些时候也被称为分部(分项)或专项工程施工组织设计,其主要内容如下:(1)工程概况;(2)施工安排;(3)施工进度计划;(4)施工准备与资源配置计划;(5)施工方法及工艺要求。参见教材P54。
 
92.下列合同条款中,与合同支付方式有关的条款有( )。
A.工程量清单错误的修正
B.市场价格波动引起的调整
C.预付款比例
D.工程进度款支付审批程序
E.质量保证金的扣留与退还
【标准答案-建设工程教育网】CDE
【建设工程教育网-名师解析】本题考查的是合同的谈判与签约。建设工程施工合同的付款分四个阶段进行,即预付款、工程进度款、最终付款和退还保留金。关于支付时间、支付方式、支付条件和支付审批程序等有很多种可能的选择,并且可能对承包人的成本、进度等产生比较大的影响。参见教材P274~275。
 
93.根据《建设工程监理规范》(GB/T50319—2013),工程建设监理规划应在( )后开始编制。
A.第一次工地会议
B.建设单位指定日期
C.签订委托监理合同
D.施工单位进场
E.收到设计文件
【标准答案-建设工程教育网】CE
【建设工程教育网-名师解析】本题考查的是监理的工作方法。工程建设监理规划应在签订委托监理合同及收到设计文件后开始编制,完成后必须经监理单位技术负责人审核批准,并应在召开第一次工地会议前报送业主。参见教材P76。
 
94.根据《建设工程施工合同(示范文本)》(GF—2013—0201)通用合同条款,关于工程施工交通运输的说法,正确的有( )。
A.承包人未合理预见进出施工现场路径所增加的费用由发包人承担
B.发包人负责取得出入施工现场所需的批准手续和全部权利
C.因承包人原因造成的场内基本交通设施损坏的,由发包人承担修复费用
D.场外交通设施无法满足工程施工需要的,由发包人负责完善
E.运输超重件所需的道路临时加固费用由承包人承担
【标准答案-建设工程教育网】BDE
【建设工程教育网-名师解析】本题考查的是《建设工程施工合同(示范文本)》。选项A,承包人未合理预见增加的费用由承包人自己承担;选项C,承包人造成的设施损坏,自身承担维修费用。本题教材上没有详细叙述,答案来自《建设工程施工合同(示范文本)》。
 
95.关于施工项目分部工程质量验收的说法,正确的有( )。
A.分部工程应由总监理工程师组织施工单位项目负责人和项目技术负责人等进行验收
B.设计单位项目负责人和施工单位技术、质量部门负责人应参加设备各安装分部的工程验收
C.勘察、设计单位项目负责人和施工单位技术、质量部门负责人应参加地基与基础分部工程验收
D.分部工程验收需对地基基础、主体结构、设备安装分部工程进行见证取样试验或抽样检测
E.分部工程验收需要对观感质量进行验收,并综合给出质量评价
【标准答案-建设工程教育网】ACDE
【建设工程教育网-名师解析】本题考查的是施工过程的质量验收。分部工程应由总监理工程师组织施工单位项目负责人和项目技术负责人等进行验收;勘察、设计单位项目负责人和施工单位技术、质量部门负责人应参加地基与基础分部工程验收;设计单位项目负责人和施工单位技术、质量部门负责人应参加主体结构、节能分部工程验收。同时分部工程质量验收需要观感质量符合要求。参见教材P196~197。
 
96.下列工程索赔证据中,属于书证的有( )。
A.工程现场照片
B.合同协议书
C.质量责任鉴定
D.往来信件
E.司法判决书
【标准答案-建设工程教育网】BDE
【建设工程教育网-名师解析】本题考查的是索赔证据。书证,是指以其文字或数字记载的内容起证明作用的书面文书和其他载体。如合同文本、财务账册、欠据、收据、往来信函以及确定有关权利的判决书、法律文件等。参见教材P337。
 
97.关于施工成本偏差分析方法的说法,正确的有( )。
A.横道图法是进行偏差分析最常用的一种方法
B.横道图法具有形象、直观等优点
C.曲线法不能用于定量分析
D.表格法反映的信息量大
E.表格法具有灵活、适用性强的优点
【标准答案-建设工程教育网】BDE
【建设工程教育网-名师解析】本题考查的是偏差分析的表达方法。选项A,表格法是进行偏差分析最常用的一种方法;选项C,曲线法可以进行定量和定性分析。参见教材P103~104。
 
98.施工成本分析是在成本形成过程中,将施工项目的成本核算资料与( )进行比较,以了解成本变动情况。
A.类似施工项目的预算成本
B.本施工项目的实际成本
C.本施工项目的目标成本
D.本施工项目的预算成本
E.类似施工项目的实际成本
【标准答案-建设工程教育网】CDE
【建设工程教育网-名师解析】本题考查的是施工成本分析。施工成本分析贯穿于施工成本管理的全过程,它是在成本的形成过程中,主要利用施工项目的成本核算资料(成本信息),与目标成本、预算成本以及类似施工项目的实际成本等进行比较,了解成本的变动情况。参见教材P82。
 
99.下列组织论基本内容中,属于相对静态的组织关系的有( )。
A.组织分工
B.物质流程组织
C.信息处理工作流租组织
D.管理工作流程组织
E.组织结构模式
【标准答案-建设工程教育网】AE
【建设工程教育网-名师解析】本题考查的是基本的组织结构模式。组织结构模式和组织分工都是一种相对静态的组织关系。而工作流程组织则反映一个组织系统中各项工作之间的逻辑关系,是一种动态关系。选项B、C、D都属于工作流程组织的内容。参见教材P23。
100.下列工程项目管理信息属于成本控制的功能有( )。
A.投标估算的数据计算和分析
B.计划施工成本
C.计算实际成本
D.计划成本与实际成本的比较分析
E.设计概算
【标准答案-建设工程教育网】ABCD
【建设工程教育网-名师解析】本题考查的是工程项目管理信息系统的功能。成本控制的功能包括:(1)投标估算的数据计算和分析;(2)计划施工成本;(3)计算实际成本;(4)计划成本与实际成本的比较分析;(5)根据工程的进展进行施工成本预测等。参见教材P366。

0

阅读 收藏 喜欢 打印举报/Report
  

新浪BLOG意见反馈留言板 欢迎批评指正

新浪简介 | About Sina | 广告服务 | 联系我们 | 招聘信息 | 网站律师 | SINA English | 产品答疑

新浪公司 版权所有