科学家列出“生命方程” 寻找外星人比想象中更困难
科学家列出“生命方程” 寻找外星人比想象中更困难
[摘要]天体物理学家提出一项生命方程揭示生命形成有多么困难,地球上或有第二种生命形成模式。
早期的太阳系十分混乱,来自太阳系其他天体的撞击可能导致两个星球的物质相互交换,这些化学反应可能会形成正确的化合物
腾讯太空讯 据国外媒体报道,当生命在星球上诞生,无论是地球还是其他星球,新生的生命形态都会克服万难最终存活下来,如今一项生命方程能够揭示生命形成有多么困难。哥伦比亚大学天体物理学家Caleb Scharf表示,该方程的提出是为了将可能引起生命系统诞生的未知的微观事件联系起来,综合考虑这些微观成分以推测出一个星球是否处于生命诞生时期的宏观事实。该方程将无生源论(生物可以随时由非生物发生)分解为一系列更简单的因素。包括行星的状况,形成生命所需的基本成分,以及这些基本成分能够组成构成生命结构的概率。
http://img1.gtimg.com/tech/pics/hv1/201/48/2097/136369866.jpg寻找外星人比想象中更困难" />
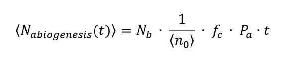
生命方程
方程左边是特定星球生命起源数量的平均数,为了得出这个平均数,需要考虑到行星上潜在的生命构建模块,生命构建模块的平均数则需要构造一个生命系统,在某个特定时段这些生命构建模块的有效性及在此期间这些模块组合的可能性。对地球而言,生命构建模块包括氨基酸、脂类及特定微量金属元素的形成。而对其他地方而言,完全不同的基本元素可能也会构成足够复杂的组合物形成生命,这个方程并没有假定任何一种特定情况。
Pa为在某个特定时期内这些构建模块能够组成生命形式的概率。若Pa值很小,即使存在生命的基本元素,也几乎不可能形成生命。但Scharf表示,研究范围再大一些,能进一步增加生命形成的可能性。例如早期的地球和火星都形成了它们特有的、相互分离的化学成分,但早期的太阳系十分混乱,来自太阳系其他天体的撞击可能导致两个星球的物质相互交换,这些化学反应可能会形成正确的化合物。如果多个星球发生物质交换,可能会导致某种化学增幅作用,生命是否会诞生也许就取决于此。
Scharf希望这个新方程能够将各方面变量的研究联系起来。例如,系外行星的详细检测,不同物理状态的分子相互反应成为复杂化合物的研究,以及可能体现出生命特性的最小单元的调查研究。将这些不同方向的研究综合考虑能够帮助科学家们全方位研究系外行星的微观化学反应。普林斯顿大学的天文学家Ed Turner表示,这个方程并不是最终答案,只是一个能够将诸多方面因素综合考虑的方式。我们需要更了解系外行星才能真正将相关数据代入方程。
也许要花上好几十年我们才能了解星球表面生命构建模块的总量之类的问题。亚利桑那州立大学的天体生物学家Paul Davies也表示由非生物发展成为生物的可能性是最难确定的。我们不知道非生物会以何种形式进化成生物,因此无法计算转化概率。我们需要发现除了地球以外的其他的生命形成模式,因为Pa不可能极限小,也许地球上就有第二种生命形成模式,只是我们还没发现。(罗辑/编译)

加载中…