AP Calculus(AB&BC)知识点总结

标签:
教育 |
知识点总结
AP微积分共分两个模块,每个部分又分为A和B两个部分,考试时间为195分钟。其中第一个模块为多项选择题(5选1),共计105分钟,共45题,其中Part A是从1到28题,不允许使用计算器,考试时间为55分钟,Part B从29题到45题,共计50分钟,允许使用计算器;第二个模块为问答题,共6道题,Part A有两道题目,允许使用计算器,考试时间为30分钟,Part B有4道题目,不允许使用计算器,考试时间为60分钟。
每个选择题答对得1分,不答得0分,答错不扣分,卷面分乘以一个系数(1.2)为最后得分,如果所有的题都答对,则为54分,占总分的50%。问答题每道题9分,共54分,占总分的50%。基本上卷面分数得到70分以上就可以得到实际分数的5分,60以上的分数大概可以得到4分,低于4分的则可能不被美国学校承认。
另外,关于计算器的使用,要求所选图形计算器一定要能画函数图像,求导数和积分值,推荐TI系列,比如TI-84,TI-89或者TI-N Spire等。
1、考试内容
Calculus AB和BC所考内容大概包含5部分,分别为函数、极限和连续,导数和导数的应用,不定积分、定积分及其应用,微分方程和无穷级数。其中,极限部分以求极限值和渐近线为主,大约5道选择题,导数和导数的应用部分为考试重点,以运用不同函数的导数去解决实际物理或者几何问题为主,大约有15道选择题和3道问答题,不定积分、定积分及其应用部分为考试重点,以运用不定积分的运算法则求体积、面积或者解决实际问题为主,大约有15道选择题和2道问答题,微分方程部分主要考可分离变量的微分方程和斜率场,大约有5道选择题,无穷级数部分为考试难点,不过只有BC考试,考试内容以泰勒级数、麦克劳林级数和拉格朗日余项为主,大约有1个问答题和5个选择题。具体的内容解析如下:
A.Function函数
(1)函数的定义和性质(定义域值域、单调性、奇偶性和周期性等)
(2)幂函数(一次函数、二次函数,多项式函数和有理函数)
(3)指数和对数(指数和对数的公式运算以及函数性质)
(4)三角函数和反三角函数(运算公式和函数性质)
(5)复合函数,反函数
*(6)参数函数,极坐标函数,分段函数
(7)函数图像平移和变换
B.Limit and Continuity极限和连续
(1)极限的定义和左右极限
(2)极限的运算法则和有理函数求极限
(3)两个重要的极限
(4)极限的应用-求渐近线
(5)连续的定义
(6)三类不连续点(移点、跳点和无穷点)
(7)最值定理、介值定理和零值定理
C.Derivative导数
(1)导数的定义、几何意义和单侧导数
(2)极限、连续和可导的关系
(3)导数的求导法则(共21个)
(4)复合函数求导
(5)高阶导数
(6)隐函数求导数和高阶导数
(7)反函数求导数
*(8)参数函数求导数和极坐标求导数
D.Application of Derivative导数的应用
(1)微分中值定理(D-MVT)
(2)几何应用-切线和法线和相对变化率
(3)物理应用-求速度和加速度(一维和二维运动)
(4)求极值、最值,函数的增减性和凹凸性
*(5)洛比达法则求极限
(6)微分和线性估计,四种估计求近似值
(7)欧拉法则求近似值
E.Indefinite Integral不定积分
(1)不定积分和导数的关系
(2)不定积分的公式(18个)
(3)U换元法求不定积分
*(4)分部积分法求不定积分
*(5)待定系数法求不定积分
F.Definite Integral 定积分
(1)Riemann Sum(左、右、中和梯形)和定积分的定义和几何意义
(2)牛顿-莱布尼茨公式和定积分的性质
*(3)Accumulation function求导数
*(4)反常函数求积分
H.Application of Integral定积分的应用
(1)积分中值定理(I-MVT)
(2)定积分求面积、极坐标求面积
(3)定积分求体积,横截面体积
(4)求弧长
(5)定积分的物理应用
I.Differential Equation微分方程
(1)可分离变量的微分方程和逻辑斯特微分方程
(2)斜率场
*J.Infinite Series无穷级数
(1)无穷级数的定义和数列的级数
(2)三个审敛法-比值、积分、比较审敛法
(3)四种级数-调和级数、几何级数、P级数和交错级数
(4)函数的级数-幂级数(收敛半径)、泰勒级数和麦克劳林级数
(5)级数的运算和拉格朗日余项、拉格朗日误差
注意:
(1)问答题主要考察知识点的综合运用,一般每道问答题都有3-4问,可能同时涵盖导数、积分或者微分方程的内容,解出的答案一般都是保留3位小数。
(2)微积分BC课程比AB课程考察内容更多,题目更难,AB的内容和难度大概相当于BC的1/2,多出的内容部分已经在上面用*号标出。
2、主要公式总结:
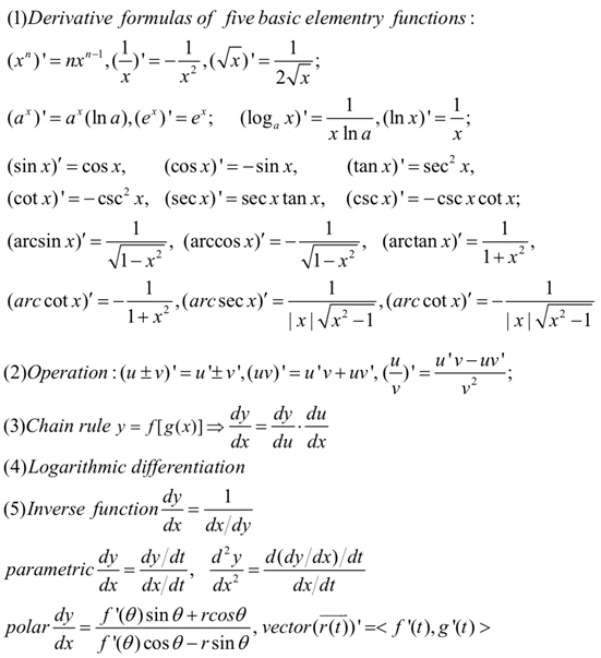
A、Derivative导数
导数定义:
http://bj.xdf.cn/Portals/24/C_Info/ImageFile/93278/2014-11/1.jpg
导数运算公式:
http://bj.xdf.cn/Portals/24/C_Info/ImageFile/93278/2014-11/2.jpg
C、Indefinite Integral不定积分
不定积分定义:
http://bj.xdf.cn/Portals/24/C_Info/ImageFile/93278/2014-11/3.jpg
不定积分运算公式:
http://bj.xdf.cn/Portals/24/C_Info/ImageFile/93278/2014-11/4.jpg
反常积分:
http://bj.xdf.cn/Portals/24/C_Info/ImageFile/93278/2014-11/5.jpg
D、Definite Integral定积分
运算法则:
http://bj.xdf.cn/Portals/24/C_Info/ImageFile/93278/2014-11/6.jpg
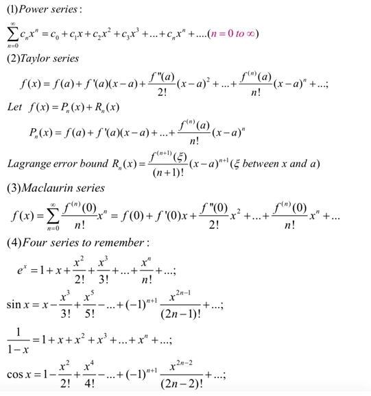
E、Infinite Series无穷级数
级数定义:
http://bj.xdf.cn/Portals/24/C_Info/ImageFile/93278/2014-11/7.jpg
四个常见级数:
http://bj.xdf.cn/Portals/24/C_Info/ImageFile/93278/2014-11/8.jpg
幂级数、泰勒级数和麦克劳林级数:
http://bj.xdf.cn/Portals/24/C_Info/ImageFile/93278/2014-11/9.jpg
3、备考资料
历年考试真题(推荐)
备考AP微积分最好的资料,通过做练习和分析能够确切把握考试要点和难点,对于备考非常有帮助。但是真题的难度比较大,尤其是BC,很多题目的综合度非常高,所以没有基础或者基础比较若的学生,不建议上来就做真题,可以选择辅助别的教材或者辅导班,来弥补自己单个知识点的不足。
历年真题可以从Collage Board官网下载,每年都会更新(截至10月份已经更新到13年),不过只有问答题部分,没有选择题,但是之前通过非官方途径发过选择题,所以可以通过某些途径找的到。
AP Barron Calculus巴郎AP微积分(推荐)
Barron Calculus对于每个知识点的分的非常清楚和调理,每部分的练习题也较多,而且难度较大,对于提高自己的运算能力非常有帮助,不过缺点也非常明显,巴郎的练习题与真题的题型不是非常接近,而且只有选择题,没有问答题,考生不能仅依靠巴郎就能把握考试类型,但是可以在老师的建议下合理的使用。
AP Princeton Calculus普林斯顿AP微积分(不推荐)
此书知识点排布稍显混乱,练习题量较少,而且难度不是很大,另外根巴郎一样,也没有问答题部分,所以不是很推荐此书。
AP Calculus每年只有一次考试(5月份),建议学生至少提前两个月开始复习,由于市面上各种资料良莠不齐,所以非常建议学生能参加一些辅导班,对于把握考试重点难点,把握考试技巧非常有帮助。
祝愿每个参加AP考试的学生都能取得好成绩。