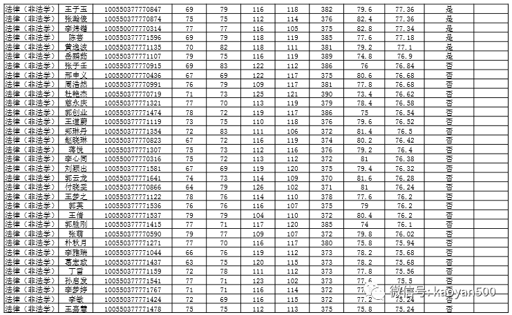
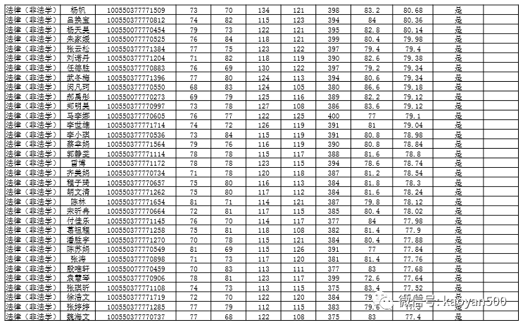
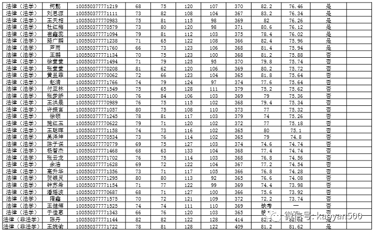
2020年南开大学法学院全日制、非全法律硕士研究生招生考试复试结果公示
标签:
法律硕士法硕辅导四联法硕 |
分类: 资料信息 |
https://mmbiz.qpic.cn/mmbiz_jpg/rOlx4cibeib8icbrY3YBMrGUlbqB5amqcd5hbxHQPqk4ibrRCnjDZ6MjMy4znxEdvCKGoLMoVCBZR9PiajsqtGbCYkw/640?wx_fmt=jpeg
2020年南开大学法学院全日制法律硕士研究生招生考试复试结果公示
南开大学研招办
2020年南开大学法学院非全日制法律硕士研究生招生考试复试结果公示
南开大学研招办

加载中…