梁鼎光小楷《古赋十八篇》
| 分类: 国画艺术 |
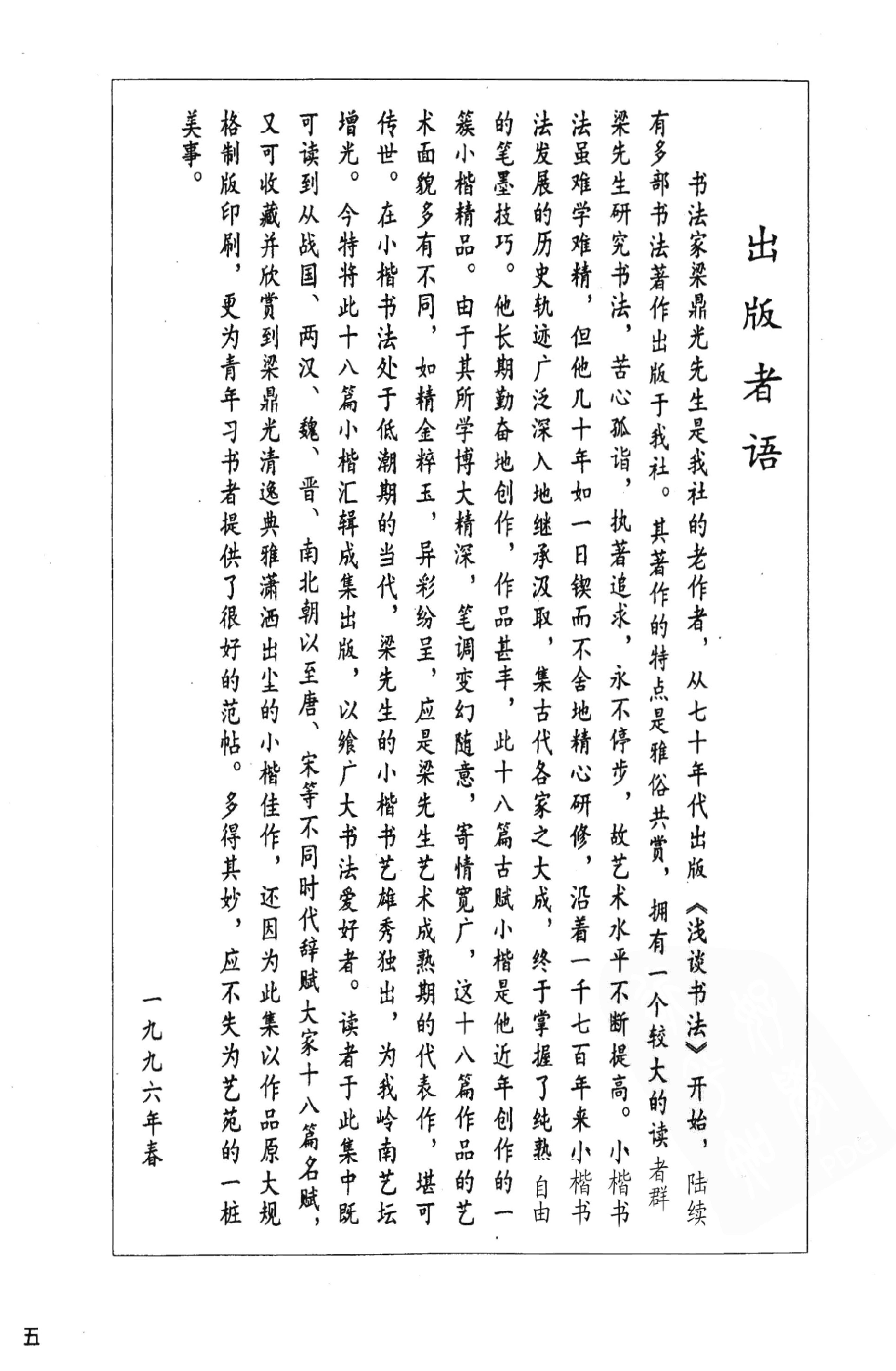
梁鼎光小楷古赋十八篇,也是非常著名的楷书法则,梁鼎光先生在书法艺术上非常的精进,执着追求,达到了很多当今书法家难以企及的高度,也是书法领域的一座难以超越的高峰,除了毛笔书法,在硬笔书法上日益精进,特别是美工钢笔,使用的出神入化,巧夺造化之功。
梁鼎光先生对于书法非常的痴迷,师从岭南名家麦华三先生,也是其最出色的门生。梁鼎光几十年如一日持之以恒的精心研修书法,便临名帖,广泛的吸收书法营养,才众家之长,熟练的掌握各种书体技法,形成了独特的书法艺术风格。
学习书法从学习《宗少林实用钢笔字》开始,我们的教程是从专业的角度出发,系统并全面的讲解和演示,理论和实践同步进行的。欢迎大家点赞.分享.评论.关注,转发,收藏,让我们一起来提高写字水平而努力吧!
前一篇:陈亮清经典作品欣赏
后一篇:佚名牡丹《宝贵平安》立轴

加载中…