明 王宠书法《明雅宜山人小楷真迹》欣赏
标签:
历史收藏书法文化艺术 |
分类: 书法 |
明 王宠书法《明雅宜山人小楷真迹》欣赏
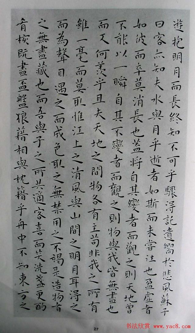
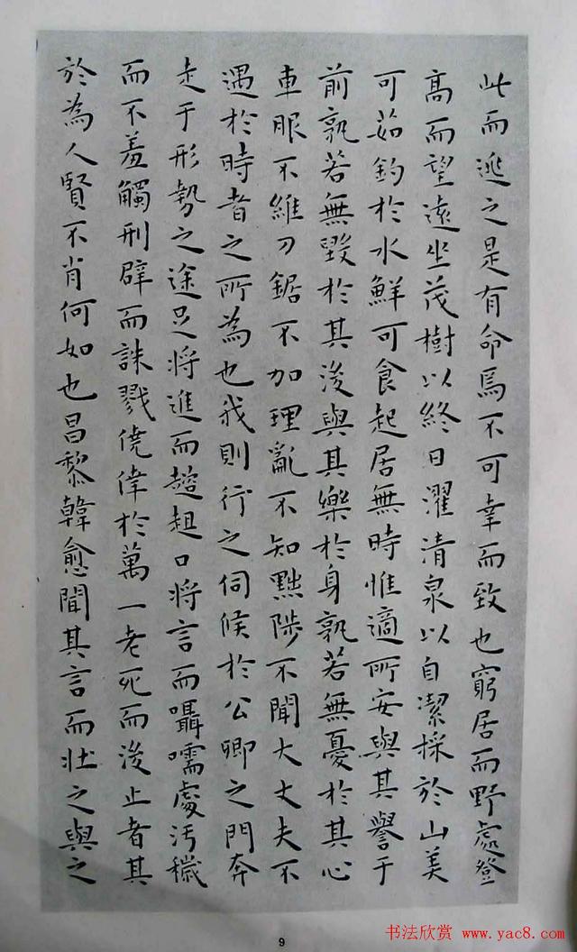
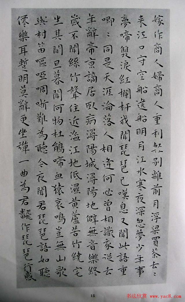
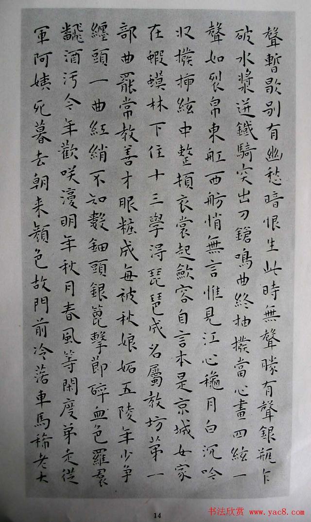
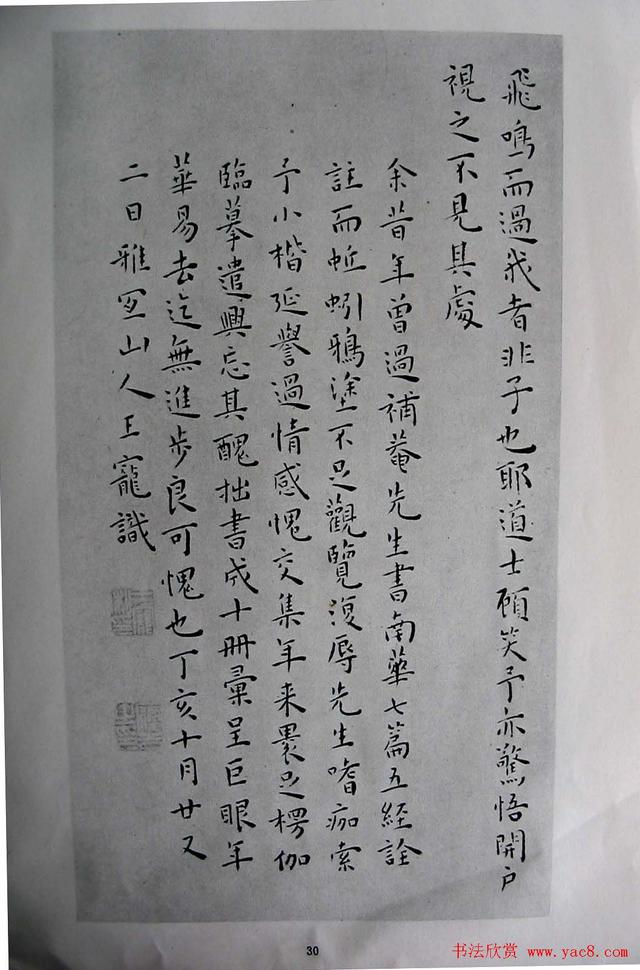
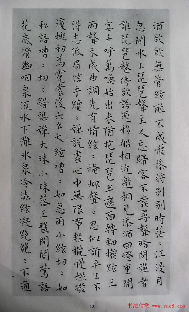
历代法书萃英:王宠书法欣赏《明雅宜山人小楷真迹》,上海书画出版社1983年版。
王宠(1494—1533)初字履仁,号雅宜山人。长洲人。一生仕途不佳,八次应试,皆不第,为唐寅姻亲,其子娶唐女,亦与文徵明交善。
https://p3a.bytecdn.cn/large/1682000145ec58ef0cb8?imageView2/2/w/930/h/1600王宠书法《明雅宜山人小楷真迹》欣赏" TITLE="明
https://p3a.bytecdn.cn/large/1633000813cfc90cbced?imageView2/2/w/963/h/1537王宠书法《明雅宜山人小楷真迹》欣赏" TITLE="明
https://p3a.bytecdn.cn/large/1633000813d859c821da?imageView2/2/w/945/h/1600王宠书法《明雅宜山人小楷真迹》欣赏" TITLE="明
https://p3a.bytecdn.cn/large/1684000817cc02b67243?imageView2/2/w/891/h/1553王宠书法《明雅宜山人小楷真迹》欣赏" TITLE="明
https://p3a.bytecdn.cn/large/1684000817d39930858f?imageView2/2/w/906/h/1526王宠书法《明雅宜山人小楷真迹》欣赏" TITLE="明
https://p3a.bytecdn.cn/large/16880001affa63c82157?imageView2/2/w/933/h/1539王宠书法《明雅宜山人小楷真迹》欣赏" TITLE="明
https://p3a.bytecdn.cn/large/167f0007b8aa30023e9a?imageView2/2/w/918/h/1568王宠书法《明雅宜山人小楷真迹》欣赏" TITLE="明
https://p3a.bytecdn.cn/large/167f0007b8b7127f01df?imageView2/2/w/942/h/1600王宠书法《明雅宜山人小楷真迹》欣赏" TITLE="明
https://p3a.bytecdn.cn/large/168700014659e14d0e55?imageView2/2/w/873/h/1568王宠书法《明雅宜山人小楷真迹》欣赏" TITLE="明
https://p3a.bytecdn.cn/large/16880001b024d483ec83?imageView2/2/w/954/h/1571王宠书法《明雅宜山人小楷真迹》欣赏" TITLE="明
https://p3a.bytecdn.cn/large/16880001b02d6e815747?imageView2/2/w/936/h/1571王宠书法《明雅宜山人小楷真迹》欣赏" TITLE="明
https://p3a.bytecdn.cn/large/16880001b0344147eb89?imageView2/2/w/978/h/1600王宠书法《明雅宜山人小楷真迹》欣赏" TITLE="明
https://p3a.bytecdn.cn/large/167f0007b8e75f918d48?imageView2/2/w/927/h/1509王宠书法《明雅宜山人小楷真迹》欣赏" TITLE="明
https://p3a.bytecdn.cn/large/167f0007b8f15f54f056?imageView2/2/w/873/h/1467王宠书法《明雅宜山人小楷真迹》欣赏" TITLE="明
https://p3a.bytecdn.cn/large/1633000814475f959943?imageView2/2/w/912/h/1488王宠书法《明雅宜山人小楷真迹》欣赏" TITLE="明
https://p3a.bytecdn.cn/large/16880001b05c2c3067bd?imageView2/2/w/852/h/1425王宠书法《明雅宜山人小楷真迹》欣赏" TITLE="明
https://p3a.bytecdn.cn/large/16820001468e7c518a9d?imageView2/2/w/891/h/1544王宠书法《明雅宜山人小楷真迹》欣赏" TITLE="明
https://p3a.bytecdn.cn/large/167f0007b91f7600d009?imageView2/2/w/816/h/1485王宠书法《明雅宜山人小楷真迹》欣赏" TITLE="明
https://p3a.bytecdn.cn/large/16880001b07ced7ec33a?imageView2/2/w/864/h/1485王宠书法《明雅宜山人小楷真迹》欣赏" TITLE="明
https://p3a.bytecdn.cn/large/16880001b080ed86ea8f?imageView2/2/w/843/h/1479王宠书法《明雅宜山人小楷真迹》欣赏" TITLE="明
https://p3a.bytecdn.cn/large/1687000146c7214c0c74?imageView2/2/w/840/h/1452王宠书法《明雅宜山人小楷真迹》欣赏" TITLE="明
https://p3a.bytecdn.cn/large/16840008186798c484ab?imageView2/2/w/855/h/1479王宠书法《明雅宜山人小楷真迹》欣赏" TITLE="明
https://p3a.bytecdn.cn/large/16880001b09965862690?imageView2/2/w/879/h/1543王宠书法《明雅宜山人小楷真迹》欣赏" TITLE="明
https://p3a.bytecdn.cn/large/16330008148d00fb0a88?imageView2/2/w/873/h/1490王宠书法《明雅宜山人小楷真迹》欣赏" TITLE="明
https://p3a.bytecdn.cn/large/167f0007b953b212e654?imageView2/2/w/933/h/1568王宠书法《明雅宜山人小楷真迹》欣赏" TITLE="明
https://p3a.bytecdn.cn/large/1682000146d44d9d8fb9?imageView2/2/w/951/h/1567王宠书法《明雅宜山人小楷真迹》欣赏" TITLE="明
https://p3a.bytecdn.cn/large/1682000146d99d4d002f?imageView2/2/w/1056/h/1600王宠书法《明雅宜山人小楷真迹》欣赏" TITLE="明

加载中…