加载中…
个人资料
  • 博客等级:
  • 博客积分:
  • 博客访问:
  • 关注人气:
  • 获赠金笔:0支
  • 赠出金笔:0支
  • 荣誉徽章:
正文 字体大小:

Matlab中的极坐标系和直角坐标系的相互转换

(2016-12-22 21:09:22)
标签:

sci

科研

理工

论文

研究

极坐标系是数学中一个重要的概念,其应用领域十分广泛,包括数学、物理、工程、航海、航空以及机器人领域。

 

该坐标系统中任意位置可由一个夹角和一段相对原点极点的距离来表示。

 

在两点间的关系用夹角和距离很容易表示时,极坐标系便显得尤为有用。

 

而在平面直角坐标系中,这样的关系就只能使用三角函数来表示。

 

对于很多类型的曲线,极坐标方程是最简单的表达形式,甚至对于某些曲线来说,只有极坐标方程能够表示。

 http://mmbiz.qpic.cn/mmbiz/ibL4SsibqaVsZ9kFtc0DtbibRJ8AkEFQoDq808rzVZYFias75U2XTh9tN7C6fhXA8QjsmWdz2beI0NdRlSzdWKtU7w/0?wx_fmt=png

1. 直角坐标系

 http://mmbiz.qpic.cn/mmbiz_png/ibL4SsibqaVsZLcyNMXBgqg831BhA5fflYGZfZhbJPvaDtlHGP6tAPKBY6r5nUhKiagRMS3xhv3y7Sia7ZeicwPFoDA/0?wx_fmt=png

直角坐标系,也称笛卡儿坐标系(Cartesian coordinatesystem),是一种正交坐标系。


二维的直角坐标系是由两条相互垂直、0点重合的数轴构成的。


在平面内,任何一点的坐标是根据数轴上对应的点的坐标设定的。


在平面内,任何一点与坐标的对应关系,类似于数轴上点与坐标的对应关系。

 http://mmbiz.qpic.cn/mmbiz/ibL4SsibqaVsZ9kFtc0DtbibRJ8AkEFQoDq808rzVZYFias75U2XTh9tN7C6fhXA8QjsmWdz2beI0NdRlSzdWKtU7w/0?wx_fmt=png

2. 极坐标系

http://mmbiz.qpic.cn/mmbiz_png/ibL4SsibqaVsZLcyNMXBgqg831BhA5fflYGHXKRzFpB9kjclNloXBSnBZlpB1fuLtzjLfQ29JpF9yUYuZjI8A8Ww/0?wx_fmt=png

极坐标系也有两个坐标轴:r(半径坐标)和 θ(角坐标、极角或方位角。r坐标表示与极点的距离,θ坐标表示按逆时针方向坐标距离射线(有时也称作极轴)的角度,极轴就是在平面直角坐标系中的x轴正方向。

 

比如,极坐标中的(3, 60°)表示了一个距离极点3个单位长度、和极轴夹角为60°的点。(−3, 240°) (3, 60°)表示了同一点,因为该点的半径为在夹角射线反向延长线上距离极点3个单位长度的地方(240° − 180° = 60°)。

 

极坐标系中一个重要的特性是,平面直角坐标中的任意一点,可以在极坐标系中有无限种表达形式。通常来说,点(r, θ)可以任意表示为(r, θ ± n×360°)(−r, θ ± (2n + 1)180°),这里n是任意整数。如果某一点的r坐标为0,那么无论θ取何值,该点的位置都落在了极点上。

 http://mmbiz.qpic.cn/mmbiz/ibL4SsibqaVsZ9kFtc0DtbibRJ8AkEFQoDq808rzVZYFias75U2XTh9tN7C6fhXA8QjsmWdz2beI0NdRlSzdWKtU7w/0?wx_fmt=png

3. 极坐标系与平面直角坐标系之间的变换

http://mmbiz.qpic.cn/mmbiz_png/ibL4SsibqaVsZLcyNMXBgqg831BhA5fflYN0sZy6r21P6F9wkwyR2a8WVWZw4AlibzmkWFXhSOl5R6jWibWgV7Oy9A/0?wx_fmt=png

从极坐标rθ可以变换为直角坐标:

 http://mmbiz.qpic.cn/mmbiz_jpg/ibL4SsibqaVsZLcyNMXBgqg831BhA5fflYb0dM3A2SiccEj7ouSibcHJV2q3l6OxicR0RZxAGjvUiauzyia5bV5TKgNlA/0?wx_fmt=jpeg

 http://mmbiz.qpic.cn/mmbiz_jpg/ibL4SsibqaVsZLcyNMXBgqg831BhA5fflYgHqBTBzhWlm8LoaHdpN9iaTAeSnRjqWib8Vdh2Wd7Evic6zAhZtryUNpg/0?wx_fmt=jpeg

 

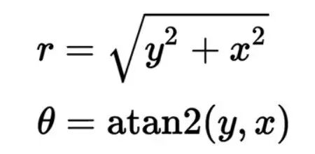
从直角坐标xy也可以变换为极坐标:

 http://mmbiz.qpic.cn/mmbiz_jpg/ibL4SsibqaVsZLcyNMXBgqg831BhA5fflYfviaSGsormnZUoAXyHJtZBkDxWMPbEhqmdIxtkE4TvudpRJf2nHiaWcw/0?wx_fmt=jpeg

Matlab中,仅需一行命令就可实现坐标系变换:

[theta, r]=cart2pol(x,y) %将笛卡尔坐标转换为极坐标

[x,y]=pol2cart(theta, r) %将极坐标转换为笛卡尔坐标

 

(END)

http://mmbiz.qpic.cn/mmbiz/ibL4SsibqaVsZ9kFtc0DtbibRJ8AkEFQoDq808rzVZYFias75U2XTh9tN7C6fhXA8QjsmWdz2beI0NdRlSzdWKtU7w/0?wx_fmt=png

公众号:科研充电宝(原名:科学计算编点程),不定时po一些科研干货、编程中的经验教训、实用技巧、技术宅和好玩的东西,欢迎关注~ http://s12/mw690/005vPBqkzy77no1CUK72b&690

0

阅读 收藏 喜欢 打印举报/Report
  

新浪BLOG意见反馈留言板 欢迎批评指正

新浪简介 | About Sina | 广告服务 | 联系我们 | 招聘信息 | 网站律师 | SINA English | 产品答疑

新浪公司 版权所有